Using benchtop NMR to quantify composite β-lactam/β-lactamase inhibitor antibiotics

Brief history of penicillin

1896 - Ernest Duchesne observed antibacterial properties of mold.

1928 – While studying staphylococci, Alexander Fleming observed a culture died after being contaminated with mould and attributed this action to penicillin.

1930 - Initial testing of drugs was carried out on selected patients.

1940s - Merck & Co. penicillin was being mass produced for war.

1945 - Bacterial resistance began to be studied.

Nanalysis

Penicillin activity

Penicillin can weaken bacterial cell walls, and therefore it is an active antibiotic. The cell wall is made up of alternating linkages of N-acetylglucosamine and N-acetylmuramic acid.

Penicillin core

Penicillin core

Tetrapeptides dangling in the muramic acid linkages consisting of D-alanine, L-alanine, L-lysine and D-glucosamine can create cross-links between rows.

Crosslinking is prevented by β-lactam antibiotics, leaving the bacterial cells susceptible to attack.1, 2 But a naturally occurring enzyme β-lactamase can hydrolyze the β-lactam ring, rendering it ineffective.

Nanalysis

Penicillin development

1. Derivatization - alter sterics, bioavailability, etc.

Nanalysis

2. ß-lactamase inhibitors - irreversibly bind to ß-lactamase

Nanalysis

Composite penem antibiotics

Amoxicillin & Clavulate. Routine ear, lung and sinus infections. Highest bioavailability of penicillin drugs.

Amoxicillin & Clavulate. Routine ear, lung and sinus infections. Highest bioavailability of penicillin drugs.

Ampicillin & Salbactam. Skin, bone, gynecological and abdominal infections. Typically, second line defense when bacteria found to be resistant to other derivatives

Ampicillin & Salbactam. Skin, bone, gynecological and abdominal infections. Typically, second line defense when bacteria found to be resistant to other derivatives

Ticarcillin & Clavulate. Blood, bone, respiratory, urinary tract infections.

Ticarcillin & Clavulate. Blood, bone, respiratory, urinary tract infections.

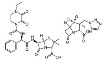
Piperacillin & Tazobactam. Most active antibiotic against Klebisella bacteria in pneumonia, Urinary tract infections (UTIs), meningitis, blood diseases etc.

Piperacillin & Tazobactam. Most active antibiotic against Klebisella bacteria in pneumonia, Urinary tract infections (UTIs), meningitis, blood diseases etc.

Example 1H NMR data from penicillin family

Nanalysis

Nanalysis

Structural confirmation software tools

In spite of second order effects, several software packages are available to validate the structure and detect impurities (such as ACD/Labs Spectrus Processor, Mnova Verify, or Perch Solutions, as illustrated here where the red trace is simulated, the blue trace is experimental, and the green trace is the difference).

Nanalysis

Courtesy of Perch Solutions at perchsolutions.com

Relative compositional analysis

Shown below are overlaid 1H NMR spectra of piperacillin-tazobactam mixtures of different relative concentrations for use in both automated and manual quantification.

NanalysisNanalysis

Manual integration

Even though there is overlap of the 1H resonances of tazobactam and piperacillin, distinctive regions can be seen and these can be incorporated for each component. Here, the 2 CH=CH peaks have been selected from the tazobactam triazole ring (δ = 7.6595-8.2236 ppm) and the 5 aromatic CH's have been chosen from the monosubstituted benzene ring in piperacillin (δ = 6.8856-7.6595 ppm).

The percent piperacillin in a d6-DMSO solution can be determined using the normalized integral of each region. This was carried out for a known concentration series (0,30, 40, 60, 70, and 100% piperacillin) and also with an unknown injection mixture to find out the linearity and accuracy of this qNMR experiment.

The results revealed that the injection mixture contained 83.11% piperacillin and 16.88% tazobactam. This value agrees well with the known ratio in the prepared injection mixture of 82.3:17.7%.

Nanalysis

Automated analysis

Mnova's Simple Mixture Analysis (SMA) was used to determine the piperacillin to tazobactam ratio in order to facilitate the routine qNMR analysis. This approach enables a user to expedite the analysis and make it easy for non-experts.

Nanalysis

After establishing the method, the concentration or relative percentage can be easily determined by anyone by simply clicking on the green 'Analyze' button.

Nanalysis

References and Further Reading

  1. Lewis, K. Nature Rev Drug Disc, 2013,12,371.
  2. Aminov, R. I. Front. Microbiol, 2010, 134,1.

About Nanalysis

Nanalysis Logo

Nanalysis was established in 2009. The company develops and manufactures portable Nuclear Magnetic Resonance (NMR) spectrometers for the laboratory instrumentation market.

In the fall of 2012, the first product was launched: NMReady™, the first fully featured portable NMR spectrometer in a single compact enclosure requiring no liquid helium or any other cryogens.

The NMReady is used by chemical professionals in all types of industries (oil & gas, chemical, pharma, biotech, food processing) as well as government and university labs.


Sponsored Content Policy: News-Medical.net publishes articles and related content that may be derived from sources where we have existing commercial relationships, provided such content adds value to the core editorial ethos of News-Medical.Net which is to educate and inform site visitors interested in medical research, science, medical devices and treatments.

Last updated: Jul 16, 2024 at 10:02 AM

Citations

Please use one of the following formats to cite this article in your essay, paper or report:

  • APA

    Nanalysis Corp.. (2024, July 16). Using benchtop NMR to quantify composite β-lactam/β-lactamase inhibitor antibiotics. News-Medical. Retrieved on January 17, 2026 from https://www.appetitesciencelab.com/whitepaper/20170130/Using-60-MHz-benchtop-NMR-to-quantify-composite-ceb2-lactamceb2-lactamase-inhibitor-antibiotics.aspx.

  • MLA

    Nanalysis Corp.. "Using benchtop NMR to quantify composite β-lactam/β-lactamase inhibitor antibiotics". News-Medical. 17 January 2026. <https://www.appetitesciencelab.com/whitepaper/20170130/Using-60-MHz-benchtop-NMR-to-quantify-composite-ceb2-lactamceb2-lactamase-inhibitor-antibiotics.aspx>.

  • Chicago

    Nanalysis Corp.. "Using benchtop NMR to quantify composite β-lactam/β-lactamase inhibitor antibiotics". News-Medical. https://www.appetitesciencelab.com/whitepaper/20170130/Using-60-MHz-benchtop-NMR-to-quantify-composite-ceb2-lactamceb2-lactamase-inhibitor-antibiotics.aspx. (accessed January 17, 2026).

  • Harvard

    Nanalysis Corp.. 2024. Using benchtop NMR to quantify composite β-lactam/β-lactamase inhibitor antibiotics. News-Medical, viewed 17 January 2026, https://www.appetitesciencelab.com/whitepaper/20170130/Using-60-MHz-benchtop-NMR-to-quantify-composite-ceb2-lactamceb2-lactamase-inhibitor-antibiotics.aspx.

Other White Papers by this Supplier

While we only use edited and approved content for Azthena answers, it may on occasions provide incorrect responses. Please confirm any data provided with the related suppliers or authors. We do not provide medical advice, if you search for medical information you must always consult a medical professional before acting on any information provided.

Your questions, but not your email details will be shared with OpenAI and retained for 30 days in accordance with their privacy principles.

Please do not ask questions that use sensitive or confidential information.

Read the full Terms & Conditions.