Plastic additives found in 85% of foods raise concern for infant health

A Spanish food study reveals that even baby foods and meals in glass jars can contain concerning levels of plastic additives, with one chemical exceeding safety thresholds in infants under high-exposure scenarios.

Study: Plastic additives in the diet: occurrence and dietary exposure in different population groupsStudy: Plastic additives in the diet: occurrence and dietary exposure in different population groups

In a recent study published in the Journal of Hazardous Materials, researchers examined exposure to plastic additives in the diet.

The widespread use of plastics has led to human exposure to contaminants through diverse routes. Plastic additives, such as organophosphate esters (OPEs) and phthalic acid esters (PAEs or phthalates), have been historically used as plasticizers. However, these are now recognized as toxic, especially in the context of food intake. As such, less toxic non-phthalate plasticizers (NPPs) have been employed in the plastics industry.

However, there remains doubt and controversy over human exposure and the fate of these substitute chemicals. For instance, acetyl tributyl citrate (ATBC), an NPP, is extensively used in plastic polymers due to its outstanding mechanical properties. Despite the relative lack of toxicity, recent studies have raised health concerns for its possible involvement in antiestrogenic activity, neurodegenerative diseases, fatty liver disease onset, and effects on growth and neurodevelopment.

Notably, ATBC is authorized for food contact use under both EU and US regulatory frameworks, but studies have suggested biological activity at exposure levels relevant to diet.

One unexpected finding was the high occurrence of ATBC in foods packaged in glass containers, which the authors attribute to the use of plasticized varnishes in the lids that can transfer the additive to the food.

About the study

In the present study, researchers assessed the concentrations and chemistry of NPPs, OPEs, and PAEs in foods representative of the Spanish diet. Food samples were collected from grocery stores in Barcelona between January and April 2022. Diverse products from different brands were randomly collected without pre-selecting packaging types. This approach maximized sampling variability, encompassing a range of dietary exposure scenarios.

Foods were classified into eight groups: 1) baby foods, 2) condiments, 3) fishery products, 4) eggs and dairy products, 5) meat, 6) oils, 7) fruits and vegetables, and 8) cereals, legumes, and sweet products. Ready-to-cook meals packaged in polypropylene and roasting bags made of polyethylene terephthalate were purchased. Plastic materials were not used during analytical procedures to mitigate contamination.

The team analyzed 4 NPPs, 20 OPEs, and 11 PAEs. Transference experiments were performed using conventional and microwave oven cooking methods. Liquid chromatography-mass spectrometry analysis was performed to measure plastic additives. Further, exposure to plasticizers through foods was examined by calculating the estimated daily intakes (EDIs) for infants, toddlers, and adults.

Findings

The results revealed widespread detection and notable differences across food types and age groups.

Overall, 109 food samples were analyzed. Of these, 85% contained at least one plasticizer. NPPs were the most commonly detected, with a detection frequency (DF) of 62%, followed by OPEs (DF: 52%) and PAEs (DF: 51%). The median concentrations of NPPs, OPEs, and PAEs were 12.4 ng/g wet weight (ww), 0.17 ng/g ww, and 1.07 ng/g ww, respectively.

NPPs were significantly different between cereals, legumes, and sweet products and fruits and vegetables, between meat and fruits and vegetables, and between fruits and vegetables and baby foods. Likewise, OPEs differed significantly between eggs and dairy products, and between condiments and fruits and vegetables.

PAEs were not significantly different across food groups. Furthermore, intragroup analysis revealed significant differences in OPEs and NPPs across meat, cereals, legumes, and sweets. Overall, 20 plasticizers were detected in foods; these included five PAEs, three NPPs, and 12 OPEs. ATBC was the most common, with a DF of 41%, followed by di(2-ethylhexyl) adipate (DEHA) with a DF of 31%.

ATBC was mainly found in cereals, legumes, sweets, and baby foods, with a DF of 70%. Meanwhile, DEHA was mainly detected in meat (DF: 90%) and eggs and dairy products (DF: 65%). The highest concentration of ATBC was observed in condiments, reaching 21,563 ng/g, a significant outlier compared to other food groups.

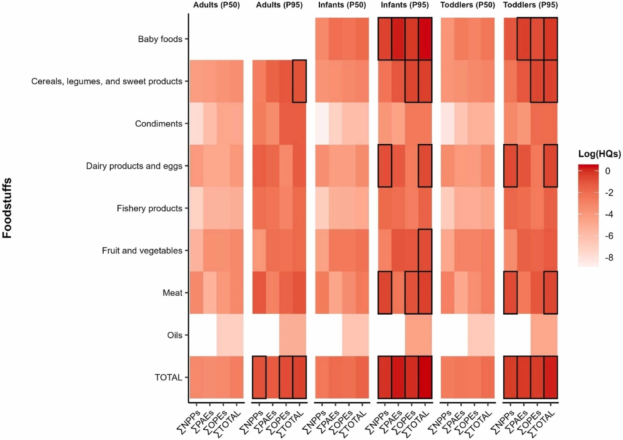
Heat map of HQs in selected population groups, normalized on a logarithmic scale, considering median (P50) and 95th percentile (P95) scenarios (highlighted boxes indicate HQ values greater than 10-1).Heat map of HQs in selected population groups, normalized on a logarithmic scale, considering median (P50) and 95th percentile (P95) scenarios (highlighted boxes indicate HQ values greater than 10-1).

Further, there were significant differences in DEHA and ATBC across foods by packaging type. ATBC was predominantly detected in foods packaged in glass containers, likely due to migration from plasticized coatings in lids, while DEHA was mainly found in fresh foods wrapped in plastic.

The transference experiments involving microwave oven-cooking indicated that the total additive levels in asparagus puree and Spanish tortilla meals remained or were reduced after cooking. These meals required less than three minutes of cooking at 800 watts. PAEs were the major additives, which decreased after cooking. By contrast, potato and broccoli ready-to-cook meals have longer cooking times of seven and five minutes, respectively.

The researchers observed a 50-fold increase in ATBC levels after cooking these meals, for example, from 1.55 ng/g to 82.5 ng/g in broccoli and from 24.1 ng/g to 104 ng/g in potatoes. DEHA and DINP also increased in concentration after cooking. In conventional oven cooking, meat was cooked in roasting bags. Chicken showed the highest concentrations of additives, especially DEHA, which increased upon cooking.

The EDI of total plasticizers in adults was 288 ng/kg body weight (bw)/day, rising as high as 44,800 ng/kg bw/day under high-exposure scenarios (the 95th percentile), with meat and cereals, legumes, and sweet products being the main contributors at 59% and 20%, respectively.

Among additives, NPPs and PAEs were the largest groups in daily intake. The EDI of plasticizers showed substantial variations between infants and toddlers. The median EDI of plasticizers was 1,155 ng/kg bw/day for toddlers and 2,262 ng/kg bw/day for infants. Baby foods were the primary source of plasticizers for infants, while meat was the predominant source for toddlers. NPPs were the largest group in daily intake for both populations.

Under normal exposure scenarios (median values), estimated daily intakes for infants were 2,262 ng/kg bw/day, but under high-exposure conditions (95th percentile), the EDI in infants reached 516,000 ng/kg bw/day (516 µg/kg bw/day). Differences between normal and high-exposure scenarios were especially pronounced for infants and toddlers, with baby foods and meat being the dominant contributors, depending on the group and exposure level.

For DEHP, hazard quotient (HQ) values exceeded 1 in infants under high-exposure scenarios, indicating that estimated intakes surpassed established safety thresholds and suggesting a potential health risk for this group.

The study also highlights that HQ values varied by compound and exposure scenario, with some OPEs and other PAEs contributing to risk in the highest exposure groups. An HQ value greater than 1 implies that the estimated intake exceeds the reference dose, potentially indicating a level of concern, though not definitive harm.

It is important to note that dietary intake is only one of several possible exposure routes to these additives; others include dust ingestion, inhalation, and dermal contact.

The study authors also acknowledge limitations, including the geographic focus on Barcelona, variability in packaging and consumption data, the use of default body weight estimates for different age groups, and the fact that not all plastic additives have established safety reference values. These factors mean the findings should be considered preliminary and highlight the need for further research and ongoing monitoring.

Conclusions

In sum, plastic additives were detected in 85% of samples, with up to 20 different additives identified. Meat, condiments, baby foods, and fishery products had the highest levels of plastic additives. DEHA and ATBC were prominent in the meat and baby food industries.

Additionally, there were significant differences among packaging types, with DEHA being associated with bulk-sold foods and ATBC being associated with glass packaging. The occurrence of extremely high concentrations in some samples, such as the outlier in condiments, underscores the variability in exposure. These results provide preliminary insights into the levels of plasticizers in foods, offering a foundation for future analyses.

The findings also underscore the importance of continued research and regulatory attention, particularly for high-risk groups such as infants and toddlers.

Journal reference:
Tarun Sai Lomte

Written by

Tarun Sai Lomte

Tarun is a writer based in Hyderabad, India. He has a Master’s degree in Biotechnology from the University of Hyderabad and is enthusiastic about scientific research. He enjoys reading research papers and literature reviews and is passionate about writing.

Citations

Please use one of the following formats to cite this article in your essay, paper or report:

  • APA

    Sai Lomte, Tarun. (2025, April 21). Plastic additives found in 85% of foods raise concern for infant health. News-Medical. Retrieved on January 17, 2026 from https://www.appetitesciencelab.com/news/20250421/Plastic-additives-found-in-8525-of-foods-raise-concern-for-infant-health.aspx.

  • MLA

    Sai Lomte, Tarun. "Plastic additives found in 85% of foods raise concern for infant health". News-Medical. 17 January 2026. <https://www.appetitesciencelab.com/news/20250421/Plastic-additives-found-in-8525-of-foods-raise-concern-for-infant-health.aspx>.

  • Chicago

    Sai Lomte, Tarun. "Plastic additives found in 85% of foods raise concern for infant health". News-Medical. https://www.appetitesciencelab.com/news/20250421/Plastic-additives-found-in-8525-of-foods-raise-concern-for-infant-health.aspx. (accessed January 17, 2026).

  • Harvard

    Sai Lomte, Tarun. 2025. Plastic additives found in 85% of foods raise concern for infant health. News-Medical, viewed 17 January 2026, https://www.appetitesciencelab.com/news/20250421/Plastic-additives-found-in-8525-of-foods-raise-concern-for-infant-health.aspx.

Comments

The opinions expressed here are the views of the writer and do not necessarily reflect the views and opinions of News Medical.
Post a new comment
Post

While we only use edited and approved content for Azthena answers, it may on occasions provide incorrect responses. Please confirm any data provided with the related suppliers or authors. We do not provide medical advice, if you search for medical information you must always consult a medical professional before acting on any information provided.

Your questions, but not your email details will be shared with OpenAI and retained for 30 days in accordance with their privacy principles.

Please do not ask questions that use sensitive or confidential information.

Read the full Terms & Conditions.