Comparison of SARS-CoV-2 rapid antigen tests

In a recent study published on the preprint server medRxiv*, researchers analyze commercially available rapid antigen tests to evaluate their analytical sensitivity and specificity, as well as clinical sensitivity for detecting the severe acute respiratory syndrome coronavirus 2 (SARS-CoV-2).

Study: Assessment of twenty-two SARS-CoV-2 rapid antigen tests against SARS-CoV-2: A laboratory evaluation study. Image Credit: Nao Novoa / Shutterstock.com

Study: Assessment of twenty-two SARS-CoV-2 rapid antigen tests against SARS-CoV-2: A laboratory evaluation study. Image Credit: Nao Novoa / Shutterstock.com

Background

Global efforts to reduce the spread of SARS-CoV-2 have been mixed and profound, including both national and local lockdowns, contact tracing, and vaccinations. The reverse transcriptase-polymerase chain reaction (RT-PCR) test has been the most widely used diagnostic test around the globe to detect SARS-CoV-2.

However, rapid antigen (Ag) testing has been deployed to scale up the detection at the population level and facilitate access to coronavirus disease 2019 (COVID-19) tests in resource-poor regions to complement RT-PCR testing. The rapid antigen tests for COVID-19 detect the viral nucleocapsid protein, making antigen tests less sensitive than RT-PCR. However, these tests are less expensive than RT-PCR, provide rapid results, and are easily portable.

About the study

In the present study, researchers evaluated rapid antigen tests commercially used in Australia against the SARS-CoV-2 Delta variant. The team conducted a laboratory evaluation study at the Victorian Infectious Diseases Reference laboratory and assessed the analytical sensitivity and specificity of 22 antigen tests, as well as the clinical sensitivity and specificity of a high-performance antigen test, and correlated their results with infectivity in cell culture.

Analytical sensitivity was assessed against the SARS-CoV-2 Delta variant and reported as TCID50/mL, cycle threshold (Ct), and viral load (RNA copies/mL), whereas specificity was evaluated against non-SARS-CoV-2 viruses. For clinical sensitivity and correlation with cell culture infectivity, the researchers used the Abbott PanBioTM COVID-19 Ag test.

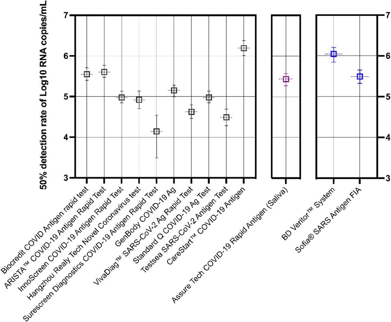
Predictive probability of rapid antigen test positivity against SARS-CoV-2 (B.1.617.2). Thirteen tests were analyzed by logistic regression and each result shown is the mean viral load (log10 RNA copies/mL) expressed as a 50% probability of positive antigen detection. Note that predictive probabilities could not be determined for some kits, where data showed perfect separation (clear distinction between a positive *1* and negative *1* result) and are not depicted above. Error bars represent the 95% confidence interval (CI). Lateral-flow devices (LFDs) are colored black, saliva-based antigen tests highlighted purple, and devices requiring a separate device for results interpretation in blue. The Sofia FIA test is a fluorescence-based test.

Predictive probability of rapid antigen test positivity against SARS-CoV-2 (B.1.617.2). Thirteen tests were analyzed by logistic regression and each result shown is the mean viral load (log10 RNA copies/mL) expressed as a 50% probability of positive antigen detection. Note that predictive probabilities could not be determined for some kits, where data showed perfect separation (clear distinction between a positive *1* and negative *1* result) and are not depicted above. Error bars represent the 95% confidence interval (CI). Lateral-flow devices (LFDs) are colored black, saliva-based antigen tests highlighted purple, and devices requiring a separate device for results interpretation in blue. The Sofia FIA test is a fluorescence-based test.

Study findings

The researchers found that 19 kits were consistent in detecting SARS-CoV-2 antigen equivalent to 1.3 x 106 copies/mL, while 11 kits demonstrated a 50% detection probability for viral loads greater than 106 RNA copies/mL. Three kits reported detection levels in ng/mL and were not compared.

 ​​​​​​​

Assessment of viral load, antigen test positivity, and cell culture infectivity. Logistic regression models (A) were performed using viral load (log10 RNA copies/mL) to calculate the 50% probability of predicting a positive antigen test (dark blue) and positive recovery of infectious virus by cell culture (red). Ninety-five percent confidence intervals are shaded and the dotted line represents a 50% positive probability. Virus load in clinical samples (B) was significantly higher for a positive antigen result (dark green) and in samples that recovered infectious virus by cell culture (purple) compared to antigen (light green) and infectivity (light purple) negative samples. **** P-value <0.0001.

About 12 kits were less sensitive than their manufacturers’ claimed sensitivities. No cross-reactivity with other respiratory viruses was observed with any of the kits. The analytical sensitivity of the kits remained unchanged for SARS-CoV-2 samples irradiated with gamma rays.

The group analyzed 78 SARS-CoV-2 RT-PCR positive samples for the presence of Ag and reactivity using the Abbott PanBioTM COVID-19 Ag test. The findings quantified as viral RNA copies/mL had a median viral load of 4.62 x 105 RNA copies/mL. Of these 78 samples, 41 were positive in Ag tests, and 40 of these Ag positive specimens reported positive cell culture growth.

Additionally, the viral load was found to be significantly higher in positive cell cultures and Ag test positive samples than those in culture and Ag test negative samples. Clinical specificity was assessed by testing about 100 SARS-CoV-2 negative samples. All 22 kits reported a specificity of 100% compared with RT-PCR.

​​​​​​​

Correlation of antigen test positivity with tissue culture positivity. Clinical naso-oropharyngeal swab samples were submitted for SARS-CoV-2 RT-PCR testing using an in-house N-gene assay. Residual volume was tested for viral infectivity by cell culture (circles), and antigen testing using the Abbott PanBio ™ COVID-19 Ag test kit (bars). Colouring represents a positive sample (blue) or a negative sample (red).

Limitations

The present analysis was performed using the spiked virus in viral transport media (VTM) to evaluate Ag test kits instead of using swabs in the manufacturer-provided buffer. Further, the clinical sensitivity was assessed for only one Ag test known as the Abbott PanBioTM COVID-19 Ag test.

Conclusions

This laboratory evaluation study found that all tested 22 rapid antigen tests were able to detect Ags at a sensitivity of 1.2 x 104 TCID50/mL or 2.6 x 106 viral RNA copies/mL. The minimum standard recommended by the World Health Organization (WHO) is 102-103 TCID50/mL for Ag tests.

The present evaluation reported a detection range within the range of 8.3 x 10­4 to 2.6 x 106 RNA copies/mL. The team was also able to correlate Ag test positivity with Ct values, RNA copies/mL, and TCID50/mL.

The researchers demonstrated that Ag test positivity correlated with the positive viral culture, suggesting that Ag tests could be useful in determining SARS-CoV-2 transmission risk. However, several kits reported variations in sensitivities stated by manufacturers, thus necessitating the evaluation of analytical sensitivity before deployment for population-level testing.

Despite any inconsistencies, most kits were able to meet WHO standards for SARS-CoV-2 detection. The current study’s findings provide a basis to select and implement Ag tests by using standardized protocols.

The data obtained in this study also mandates post-market validation of all existing commercial Ag tests regularly to help guide the implementation strategy of these tests.

Important notice

medRxiv publishes preliminary scientific reports that are not peer-reviewed and, therefore, should not be regarded as conclusive, guide clinical practice/health-related behavior, or treated as established information

Journal reference:
Susha Cheriyedath

Written by

Susha Cheriyedath

Susha is a scientific communication professional holding a Master's degree in Biochemistry, with expertise in Microbiology, Physiology, Biotechnology, and Nutrition. After a two-year tenure as a lecturer from 2000 to 2002, where she mentored undergraduates studying Biochemistry, she transitioned into editorial roles within scientific publishing. She has accumulated nearly two decades of experience in medical communication, assuming diverse roles in research, writing, editing, and editorial management.

Citations

Please use one of the following formats to cite this article in your essay, paper or report:

  • APA

    Cheriyedath, Susha. (2021, December 21). Comparison of SARS-CoV-2 rapid antigen tests. News-Medical. Retrieved on January 17, 2026 from https://www.appetitesciencelab.com/news/20211221/Comparison-of-SARS-CoV-2-rapid-antigen-tests.aspx.

  • MLA

    Cheriyedath, Susha. "Comparison of SARS-CoV-2 rapid antigen tests". News-Medical. 17 January 2026. <https://www.appetitesciencelab.com/news/20211221/Comparison-of-SARS-CoV-2-rapid-antigen-tests.aspx>.

  • Chicago

    Cheriyedath, Susha. "Comparison of SARS-CoV-2 rapid antigen tests". News-Medical. https://www.appetitesciencelab.com/news/20211221/Comparison-of-SARS-CoV-2-rapid-antigen-tests.aspx. (accessed January 17, 2026).

  • Harvard

    Cheriyedath, Susha. 2021. Comparison of SARS-CoV-2 rapid antigen tests. News-Medical, viewed 17 January 2026, https://www.appetitesciencelab.com/news/20211221/Comparison-of-SARS-CoV-2-rapid-antigen-tests.aspx.

Comments

The opinions expressed here are the views of the writer and do not necessarily reflect the views and opinions of News Medical.
Post a new comment
Post

Sign in to keep reading

We're committed to providing free access to quality science. By registering and providing insight into your preferences you're joining a community of over 1m science interested individuals and help us to provide you with insightful content whilst keeping our service free.

or

While we only use edited and approved content for Azthena answers, it may on occasions provide incorrect responses. Please confirm any data provided with the related suppliers or authors. We do not provide medical advice, if you search for medical information you must always consult a medical professional before acting on any information provided.

Your questions, but not your email details will be shared with OpenAI and retained for 30 days in accordance with their privacy principles.

Please do not ask questions that use sensitive or confidential information.

Read the full Terms & Conditions.

You might also like...
Dual pathways found for centromere specification, ensuring accurate chromosome segregation