Curcumin, a bioactive component of turmeric, effectively neutralizes SARS-CoV-2 in vitro

New research establishes the potent activity of turmeric root and its bioactive compound curcumin against the severe acute respiratory syndrome coronavirus 2 (SARS-CoV-2). The researchers of this study published in the journal Viruses investigated the neutralizing activity of aqueous turmeric root extract, curcumin-containing nutritional supplement capsules, and pure curcumin against SARS-CoV-2 in vitro at low subtoxic concentrations.

Study: Turmeric Root and Its Bioactive Ingredient Curcumin Effectively Neutralize SARS-CoV-2 In Vitro. Image Credit: NIKCOA / Shutterstock.com

Background

The ongoing coronavirus disease 2019 (COVID-19) pandemic, which is caused by the spread of SARS-CoV-2, continues to increase morbidity and mortality across the world. Mitigation strategies and vaccinations have declined the infection rate and severity; however, there are limited therapeutic options that are currently available for treating COVID-19.

Traditional herbal medicines are a promising option for the complementary treatment of COVID-19. The rhizome of Curcuma longa, which is more commonly known as turmeric root, is one popular option that is associated with potent antiviral properties. Its active ingredients include curcumin (75%), demethoxycurcumin (20–25%), and bisdemethoxycurcumin (5–15%), all of which have a broad spectrum of bioactivities such as antioxidant, anti-inflammatory, antibacterial, antiviral, antitumor, and hepatoprotective properties.

The antiviral activity of curcumin is established against a variety of viruses including the human immunodeficiency virus (HIV), hepatitis C virus (HCV), Influenza A, and the severe acute respiratory syndrome coronavirus 1 (SARS-CoV-1). Few studies are also exploring its role in COVID-19 patients.

About the study

The three compounds that were tested for their in vitro efficacy against SARS-CoV-2 in this study included aqueous turmeric root extract, a curcumin-containing nutritional supplement capsule, and curcumin (diferuloylmethane) from Sigma Aldrich.

To obtain the root extract, the researchers reduced the turmeric root into fragments through a grater and centrifuged it to remove the solid components. They further purified the supernatant by ultracentrifugation.

The nutritional capsule was dissolved in dimethyl sulfoxide (DMSO) and diluted in the culture medium for use. The researchers reported that one capsule contained 640 milligrams (mg) of turmeric powder, 105 mg turmeric extract (containing 99.9 mg curcumin), and 5 mg black pepper (containing 4.7 mg piperine). The curcumin alone was also dissolved and diluted similarly.

The researchers have derived SARS-CoV-2 from an isolate obtained in a clinical nasopharyngeal swab of a patient with COVID-19 who was hospitalized in April 2020 at the University Hospital in Essen. For in vitro experiments, Vero E6 cells and Calu-3 cells were used.

For the neutralization assays, different dilutions of the test compounds were preincubated with SARS-CoV-2 before incubation with the Vero E6 cells. Importantly, this is a standard in vitro model in SARS-CoV-2 research.

The researchers assessed the neutralization efficacy of curcumin against SARS-CoV-2 on human Calu-3 cells by an in-cell enzyme-linked immunosorbent assay (ELISA) (icELISA)-based neutralization test (icNT). Here, incubated cells are treated with SARS-CoV-2 N-specific primary antibody, followed by secondary antibody and substrates.

For the cell viability test, the researchers performed a colorimetric assay using the Orangu cell-counting solution. For quantifying the genomic SARS-CoV-2 material, the researchers harvested the supernatant from the treated cells and purified the viral ribonucleic acid (RNA). Using primers targeting the viral membrane (M) or nucleocapsid (N) gene, the researchers quantified the SARS-CoV-2 RNA by reverse-transcription qualitative polymerase chain reaction (RT-qPCR).

Study findings

The researchers presented the cytopathic effects (CPE) using transmitted light microscopy. In this neutralization of SARS-CoV-2 by aqueous turmeric root extract, curcumin-containing nutritional supplement capsules, and curcumin, using various dilutions, the researchers calculated the concentration required for complete virus neutralization and calculated the EC50 values.

For determining the dose-dependent antiviral activity, the researchers determined the EC50 of turmeric root extract was achieved at a dilution of 1:63.5. Comparatively, the EC50 values of the capsules and curcumin were achieved at a concentration of 7.4 micrograms (µg)/mL and 7.9 µg/mL, respectively. No cytotoxic effect was observed.

Dose-dependent antiviral activity of aqueous turmeric root extract, curcumin-containing nutritional supplement capsules, and curcumin against SARS-CoV-2. Decreasing concentrations of aqueous turmeric root extract (1:8–1:1024 dilution) (A), nutritional supplement capsules (468.8–3.7 µg/mL) (B), and curcumin (125–1 µg/mL) (C) were pre-incubated with 100 TCID50 of SARS-CoV-2 for one hour. Subsequently, each dilution of virus–herb suspensions was incubated on confluent Vero E6 cells grown on a 96-well plate. After 48 h, cells were stained with crystal violet and analyzed regarding cytopathic effects. The half-maximal effective concentration (EC50) was calculated by nonlinear regression using GraphPad Prism. The cytotoxic effect of various concentrations of aqueous turmeric root extract, nutritional supplement capsules, and curcumin toward Vero E6 cells was determined by Orangu Cell Counting Solution (Cell guidance systems) after 48 h. Cell viability was normalized to untreated control cells. The experiment was performed three times independently. Error bars represent the standard error of the mean (SEM).

Because the potential antiviral compounds against SARS-CoV-2 may present an antiviral effect that can be cell-line dependent, the researchers in this study demonstrated efficient curcumin-mediated inhibition of SARS-CoV-2 infection in both cell lines, thereby indicating a genuine antiviral effect of curcumin against SARS-CoV-2.

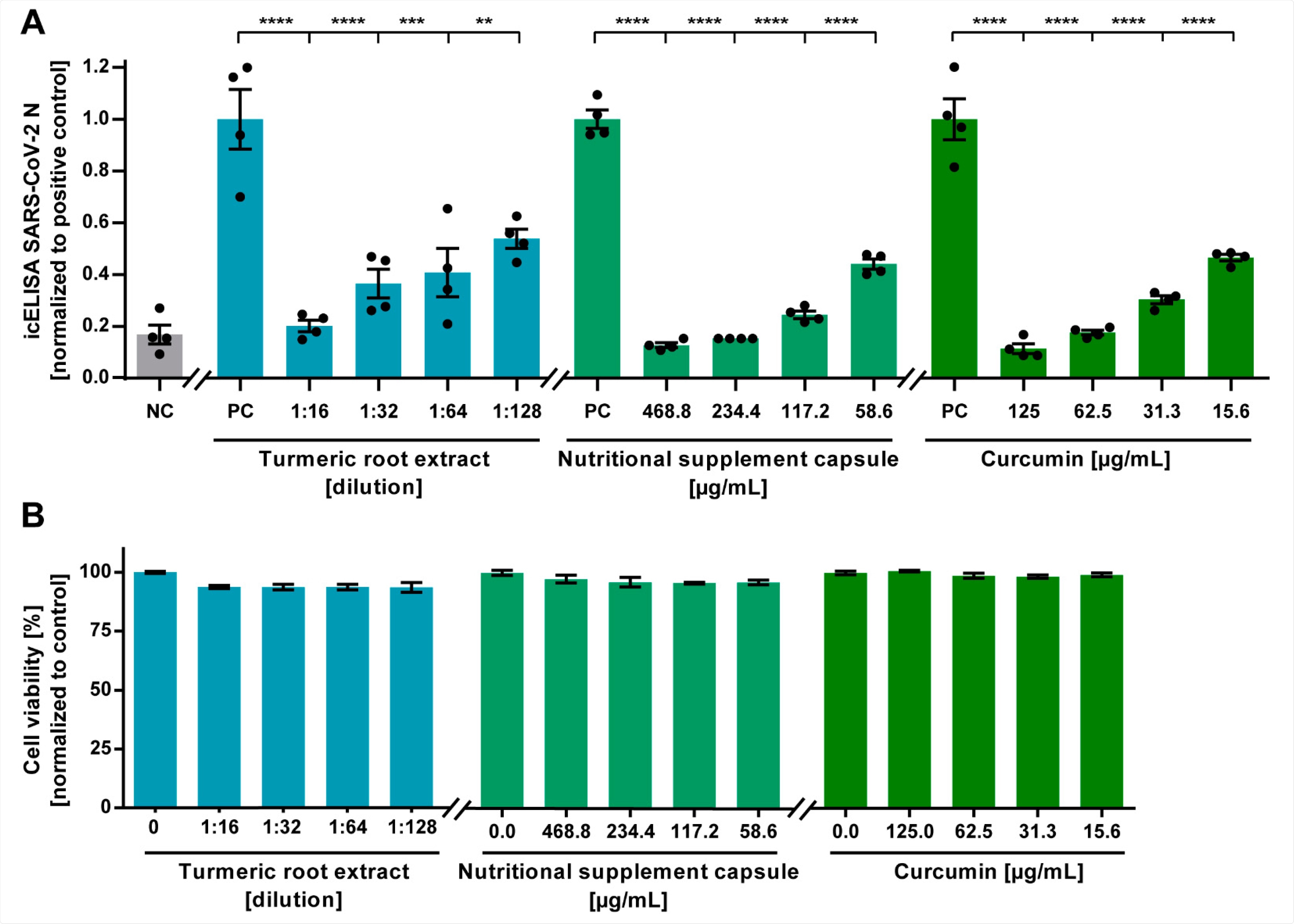
The antiviral activity of a human cell line assessed by an in-cell ELISA (icELISA)-based neutralization test (icNT) showed all tested mixtures potently neutralized SARS-CoV-2 at subtoxic concentrations. They found that low concentrations of 58.6 µg/mL of the dissolved supplement capsules, 15.6 µg/mL of curcumin, and a high dilution of 1:128 of turmeric root extract were sufficient to significantly neutralize SARS-CoV-2.

Neutralization of SARS-CoV-2 by aqueous turmeric root extract, curcumin-containing nutritional supplement capsules, and curcumin on a human cell line assessed by an in-cell ELISA (icELISA)-based neutralization test (icNT). (A) Decreasing concentrations of aqueous turmeric root extract (1:16–1:128 dilution), nutritional supplement capsule content (468.8–58.6 µg/mL), or curcumin (125–15.6 µg/mL) were pre-incubated with 5000 plaque-forming units (PFU) of SARS-CoV-2 for one hour. Subsequently, mixtures were added to human Calu-3 cells and incubated for 24 h. After incubation with a SARS-CoV-2 N-specific primary antibody and peroxidase-labelled secondary antibody, the enzyme reaction was visualized by adding tetramethylbenzidine. Absorbance was measured with a microplate multireader at OD450. Statistical analysis was performed with one-way analysis of variance (ANOVA) and Dunnett’s multiple comparison test using GraphPad Prism. ** p < 0.01; *** p < 0.001; and **** p < 0.0001; error bars represent the standard error of the mean (SEM). NC = negative control (medium); PC = positive control (5000 PFU SARS-CoV-2). (B) The cytotoxic effect of various concentrations of aqueous turmeric root extract, nutritional supplement capsule, and curcumin toward Calu-3 cells was determined by Orangu™ Cell Counting Solution (Cell guidance systems) after 24 h. The cell viability was normalized to untreated control cells. Error bars represent the SEM.

Significantly, this study demonstrated for the first time a potent antiviral activity of turmeric root and its bioactive ingredient curcumin against SARS-CoV-2 on Vero-E6 and Calu-3 cells.

Further, the researchers performed a dose-dependent activity of curcumin on the SARS-CoV-2 RNA genome copy numbers and found an EC50 of about 14 µg/mL (about 38 µM). The results correlated well with the above-mentioned observations of neutralization efficacy.

Discussing the possible mechanisms of action of curcumin against SARS-CoV-2, the researchers suggested the inhibition of viral entry into the host cell. As indicated in previous in silico studies, the keto and enol forms of curcumin H-bonds strongly bind with the viral spike protein and the host angiotensin-converting enzyme 2 (ACE2) receptor.

Conclusions

Despite its low bioavailability and aqueous solubility issues, the results from this study highlight curcumin as a potent antiviral compound at low concentrations against SARS-CoV-2. The researchers demonstrated that the aqueous turmeric root extract, dissolved nutritional supplement capsules, as well as curcumin alone efficiently neutralized SARS-CoV-2 in Vero E6 and Calu-3 cell culture models.

While results from undergoing clinical studies on the evaluation of benefits of curcumin the treatment of COVID-19 patients are pending, this study strongly demonstrates its activity against SARS-CoV-2 in vitro. The results discussed here to reaffirm that herbal medicines, which are cost-effective and easily available across the world, with antiviral activity are promising candidates for the complementary treatment of viral infections such as SARS-CoV-2 infections.

Journal reference:
Dr. Ramya Dwivedi

Written by

Dr. Ramya Dwivedi

Ramya has a Ph.D. in Biotechnology from the National Chemical Laboratories (CSIR-NCL), in Pune. Her work consisted of functionalizing nanoparticles with different molecules of biological interest, studying the reaction system and establishing useful applications.

Citations

Please use one of the following formats to cite this article in your essay, paper or report:

  • APA

    Dwivedi, Ramya. (2021, November 01). Curcumin, a bioactive component of turmeric, effectively neutralizes SARS-CoV-2 in vitro. News-Medical. Retrieved on January 17, 2026 from https://www.appetitesciencelab.com/news/20211101/Curcumin-a-bioactive-component-of-turmeric-effectively-neutralizes-SARS-CoV-2-in-vitro.aspx.

  • MLA

    Dwivedi, Ramya. "Curcumin, a bioactive component of turmeric, effectively neutralizes SARS-CoV-2 in vitro". News-Medical. 17 January 2026. <https://www.appetitesciencelab.com/news/20211101/Curcumin-a-bioactive-component-of-turmeric-effectively-neutralizes-SARS-CoV-2-in-vitro.aspx>.

  • Chicago

    Dwivedi, Ramya. "Curcumin, a bioactive component of turmeric, effectively neutralizes SARS-CoV-2 in vitro". News-Medical. https://www.appetitesciencelab.com/news/20211101/Curcumin-a-bioactive-component-of-turmeric-effectively-neutralizes-SARS-CoV-2-in-vitro.aspx. (accessed January 17, 2026).

  • Harvard

    Dwivedi, Ramya. 2021. Curcumin, a bioactive component of turmeric, effectively neutralizes SARS-CoV-2 in vitro. News-Medical, viewed 17 January 2026, https://www.appetitesciencelab.com/news/20211101/Curcumin-a-bioactive-component-of-turmeric-effectively-neutralizes-SARS-CoV-2-in-vitro.aspx.

Comments

The opinions expressed here are the views of the writer and do not necessarily reflect the views and opinions of News Medical.
Post a new comment
Post

Sign in to keep reading

We're committed to providing free access to quality science. By registering and providing insight into your preferences you're joining a community of over 1m science interested individuals and help us to provide you with insightful content whilst keeping our service free.

or

While we only use edited and approved content for Azthena answers, it may on occasions provide incorrect responses. Please confirm any data provided with the related suppliers or authors. We do not provide medical advice, if you search for medical information you must always consult a medical professional before acting on any information provided.

Your questions, but not your email details will be shared with OpenAI and retained for 30 days in accordance with their privacy principles.

Please do not ask questions that use sensitive or confidential information.

Read the full Terms & Conditions.

You might also like...
COVID-19 immunity stays specific and barely boosts protection against common cold coronaviruses