Increased evolutionary rates seen in SARS-CoV-2 variants of concern

An Australian study conducted at the University of Melbourne describes that the emergence of more deadly variants of concern (VOCs) of severe acute respiratory syndrome coronavirus 2 (SARS-CoV-2) is associated with an induction in episodic evolutionary rate. The study is currently available on the medRxiv* preprint server.

This news article was a review of a preliminary scientific report that had not undergone peer-review at the time of publication. Since its initial publication, the scientific report has now been peer reviewed and accepted for publication in a Scientific Journal. Links to the preliminary and peer-reviewed reports are available in the Sources section at the bottom of this article. View Sources

Background

Whole-genome sequencing analysis is particularly important for evolutionary and epidemiological monitoring of SARS-CoV-2 and its variants. Mutations that change transmissibility, infectivity, and immunogenicity of SARS-CoV-2 are expected to emerge under positive selection pressure and play a key role in viral evolution. With the progression of coronavirus disease 2019 (COVID-19) pandemic, four VOCs, namely alpha (UK), beta (South Africa), gamma (Brazil), and delta (India), have emerged, which are characterized by a number of defined mutations in the spike protein, such the D614G and N501Y mutations.

The total number of mutations in these VOCs (usually more than 10 mutations) is significantly higher than the number expected under the phylogenetic evolutionary rate (background rate), which allows for the accumulation of about two mutations per month per variant.     

In the current study, scientists have investigated whether the emergence of VOCs is associated with an increase in evolutionary rate.

Study design

The scientists analyzed genetic sequences of SARS-CoV-2 publicly available in the GISAID (Global Initiative on Sharing Avian Influenza Data) database by considering different molecular clock models that estimate the evolutionary rate along branches in phylogenetic trees. The molecular clock models they considered for the analysis include the strict molecular clock, uncorrelated relaxed clock, and a range of fixed local clock models.  

The strict molecular clock hypothesizes that all branches in a phylogenetic tree are under a single evolutionary rate. In contrast, the uncorrelated relaxed clock hypothesizes that the evolutionary rates for all branches are independent and equally distributed. The fixed local clock models are operated under a set of “background” branches and a set of “foreground” branches with different evolutionary rates.    

While considering the fixed local clock models, the scientists hypothesized that the evolutionary rate could vary within VOC clades or along the stem, or only at stem branches. Another assumption was that all VOCs could share the evolutionary rates.

The change in evolutionary rate along the stem branches of VOCs represents a condition wherein a short-term increase in the evolutionary rate may occur prior to returning to the background rate. In contrast, the change in evolutionary rate within VOC clades represents a condition wherein all VOCs have an evolutionary rate that is different from the background rate.

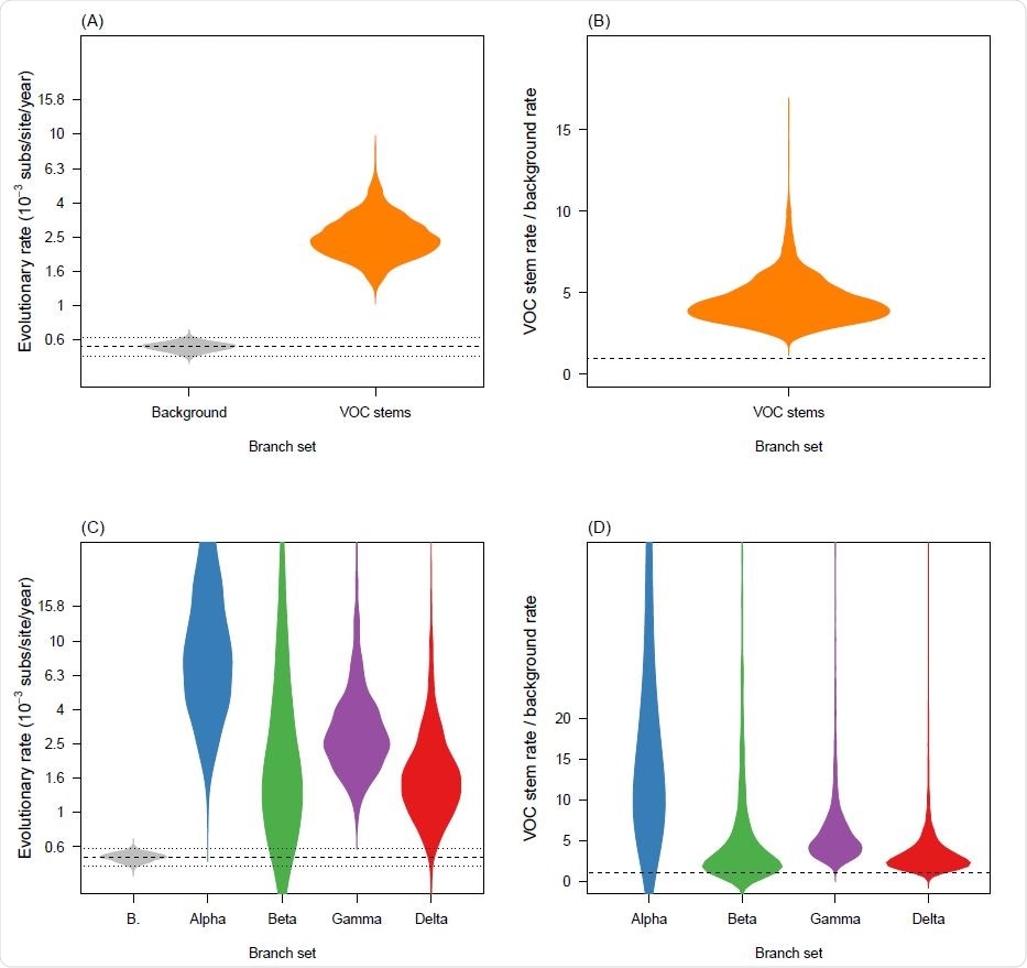
Violin plots for posterior statistics of fixed local clock models (FLC). (A) is for a FLC where the stem branches of VOCs share an evolutionary rate that is different to that of the background. The evolutionary rate for variants of concern (VOC) stem branches is shown in orange and the background in grey. The dashed line represents the mean background rate and the dotted lines are the 95% credible interval. (B) is the ratio of the evolutionary rate for VOC stem branches and the background under the same model and the dashed line represents a value of 1.0 where the background and VOC stem rate would be the same. (C) and (D) show the corresponding statistics for the FLC stems model, where the stem branch of every VOC has a dierent rate. Abbreviation
Violin plots for posterior statistics of fixed local clock models (FLC). (A) is for an FLC where the stem branches of VOCs share an evolutionary rate that is different from that of the background. The evolutionary rate for variants of concern (VOC) stem branches is shown in orange and the background in grey. The dashed line represents the mean background rate and the dotted lines are the 95% credible interval. (B) is the ratio of the evolutionary rate for VOC stem branches and the background under the same model and the dashed line represents a value of 1.0 where the background and VOC stem rate would be the same. (C) and (D) show the corresponding statistics for the FLC stems model, where the stem branch of every VOC has a different rate. Abbreviation 'B.' stands for background.

Important observations

The study findings revealed that the evolutionary rate of SARS-CoV-2 varies significantly between variants and that the emergence of different VOCs of SARS-CoV-2 is associated with an increase in episodic evolutionary rate. Specifically, the evolutionary rate was estimated to be 4-fold higher than the background phylogenetic rate that may have lasted several weeks or months.

As estimated in the study, the number of mutations required for the emergence of the alpha variant might have taken 14 weeks to accumulate.  Similarly, the mutations required for the emergence of beta, gamma, and delta variants might have taken 4, 17, and 6 weeks to accumulate, respectively.

Study significance

The study highlights the importance of genomic surveillance data and phylogenetic methods in determining the evolutionary rates of viral VOCs. However, the exact mechanism responsible for the evolution of VOCs is still uncertain.

As mentioned by the scientists, the dynamics of viral evolution could be deciphered by dense sampling between transmission chains, especially in regions where the transmission is low and intra-host sequences are available. In addition, it is vital to investigate the impact of natural selection on the emergence and persistence of VOCs.

In the article, scientists have highlighted the need for early detection of VOCs and the evaluation of the conditions that favor the emergence of VOCs.

This news article was a review of a preliminary scientific report that had not undergone peer-review at the time of publication. Since its initial publication, the scientific report has now been peer reviewed and accepted for publication in a Scientific Journal. Links to the preliminary and peer-reviewed reports are available in the Sources section at the bottom of this article. View Sources

Journal references:

Article Revisions

  • May 15 2023 - The preprint preliminary research paper that this article was based upon was accepted for publication in a peer-reviewed Scientific Journal. This article was edited accordingly to include a link to the final peer-reviewed paper, now shown in the sources section.
Dr. Sanchari Sinha Dutta

Written by

Dr. Sanchari Sinha Dutta

Dr. Sanchari Sinha Dutta is a science communicator who believes in spreading the power of science in every corner of the world. She has a Bachelor of Science (B.Sc.) degree and a Master's of Science (M.Sc.) in biology and human physiology. Following her Master's degree, Sanchari went on to study a Ph.D. in human physiology. She has authored more than 10 original research articles, all of which have been published in world renowned international journals.

Citations

Please use one of the following formats to cite this article in your essay, paper or report:

  • APA

    Dutta, Sanchari Sinha Dutta. (2023, May 15). Increased evolutionary rates seen in SARS-CoV-2 variants of concern. News-Medical. Retrieved on January 19, 2026 from https://www.appetitesciencelab.com/news/20210902/Increased-evolutionary-rates-seen-in-SARS-CoV-2-variants-of-concern.aspx.

  • MLA

    Dutta, Sanchari Sinha Dutta. "Increased evolutionary rates seen in SARS-CoV-2 variants of concern". News-Medical. 19 January 2026. <https://www.appetitesciencelab.com/news/20210902/Increased-evolutionary-rates-seen-in-SARS-CoV-2-variants-of-concern.aspx>.

  • Chicago

    Dutta, Sanchari Sinha Dutta. "Increased evolutionary rates seen in SARS-CoV-2 variants of concern". News-Medical. https://www.appetitesciencelab.com/news/20210902/Increased-evolutionary-rates-seen-in-SARS-CoV-2-variants-of-concern.aspx. (accessed January 19, 2026).

  • Harvard

    Dutta, Sanchari Sinha Dutta. 2023. Increased evolutionary rates seen in SARS-CoV-2 variants of concern. News-Medical, viewed 19 January 2026, https://www.appetitesciencelab.com/news/20210902/Increased-evolutionary-rates-seen-in-SARS-CoV-2-variants-of-concern.aspx.

Comments

The opinions expressed here are the views of the writer and do not necessarily reflect the views and opinions of News Medical.
Post a new comment
Post

Sign in to keep reading

We're committed to providing free access to quality science. By registering and providing insight into your preferences you're joining a community of over 1m science interested individuals and help us to provide you with insightful content whilst keeping our service free.

or

While we only use edited and approved content for Azthena answers, it may on occasions provide incorrect responses. Please confirm any data provided with the related suppliers or authors. We do not provide medical advice, if you search for medical information you must always consult a medical professional before acting on any information provided.

Your questions, but not your email details will be shared with OpenAI and retained for 30 days in accordance with their privacy principles.

Please do not ask questions that use sensitive or confidential information.

Read the full Terms & Conditions.

You might also like...
How pandemic viruses spread across U.S. cities before anyone notices