Neutralizing antibodies persist against SARS-CoV-2 at least a year after infection

Researchers in Finland have conducted a study showing that the neutralizing antibodies generated following infection with severe acute respiratory syndrome coronavirus 2 (SARS-CoV-2) – the agent that causes coronavirus disease 2019 (COVID-19) – generally persist for at least a year.

“Studies of individuals who have recovered from natural SARS-CoV-2 infection are crucial in determining how long antibodies persist and whether these antibodies might protect against re-infection,” writes Anu Haveri and colleagues from the Finnish Institute for Health and Welfare in Helsinki.

Now, the team has shown that in a cohort of more than 360 recovered individuals, immunoglobulin G (IgG) antibodies binding the wild-type SARS-CoV-2 spike protein persisted in 97% of patients for at least twelve months.

The viral spike protein is the main structure the virus uses to infect host cells and a primary target of antibodies following infection or vaccination.

Furthermore, neutralizing antibodies against SARS-CoV-2 also persisted in 89% of individuals for at least a year.

“This strongly suggests that protection against re-infection is long-lived,” write the researchers.

By contrast, neutralization capacity was significantly decreased against the B.1.1.7 (alpha), B.1.351 (beta), and B.1.617.2 (delta) variants of concern that arose in the UK, South Africa and India, respectively.

However, the team points out that while re-infection could occur in the absence of neutralizing antibodies, cellular immunity has been shown to less affected by mutations present in these variants and will likely provide long-term protection against severe disease.

A pre-print version of the research paper is available on the medRxiv* server, while the article undergoes peer review.

This news article was a review of a preliminary scientific report that had not undergone peer-review at the time of publication. Since its initial publication, the scientific report has now been peer reviewed and accepted for publication in a Scientific Journal. Links to the preliminary and peer-reviewed reports are available in the Sources section at the bottom of this article. View Sources

More about the antibodies generated by SARS-CoV-2 infection

Infection with SARS-CoV-2 induces antibodies against the spike protein and another surface structure called nucleoprotein that plays a vital role in packaging the viral genome.

Neutralizing antibodies generated against SARS-CoV-2 target the receptor-binding domain (RBD) of the spike and stop it from attaching to the host cell receptor angiotensin-converting enzyme 2.

Neutralizing antibody titers, which are highly predictive of protection against infection and clinical disease, have been reported to persist for at least six to twelve months following infection.

“However, a protective threshold for humans is still under debate and subject to standardization of serological methods,” says Haveri and colleagues.

Furthermore, SARS-CoV-2 has evolved certain mutations that are causing concerns regarding viral transmissibility and potential escape from infection and vaccine-induced immunity.

“Evidence from convalescent sera from individuals who have recovered from natural infection may help determine how long antibodies and immunity persist and whether antibodies might protect against re-infection,” writes the team.

What did the researchers do?

The researchers assessed the persistence of serum antibodies among 367 individuals who had recovered from wild-type SARS-CoV-2 infection at six and twelve months following diagnosis. Thirteen percent of the participants had recovered from severe disease that required hospitalization.

The team determined the proportion of individuals with anti-spike IgG (S-IgG), anti-nucleoprotein IgG (N-IgG), and neutralizing antibodies (NAb). In a subset of 78 participants, they also measured NAb titers against a wild-type SARS-CoV-2 virus (B.1) and the B.1.1.7, B.1.351, and B.1.617.2 variants of concern.

What did they find?

The study found that S-IgG, N-IgG and NAb were detected in 91%, 98% and 67% of the participants, respectively, six months after diagnosis of infection.

The proportion of samples positive for S-IgG and Nab was still high twelve months after diagnosis, at 97% and 89%, respectively, but had decreased to 36% for N-IgG.

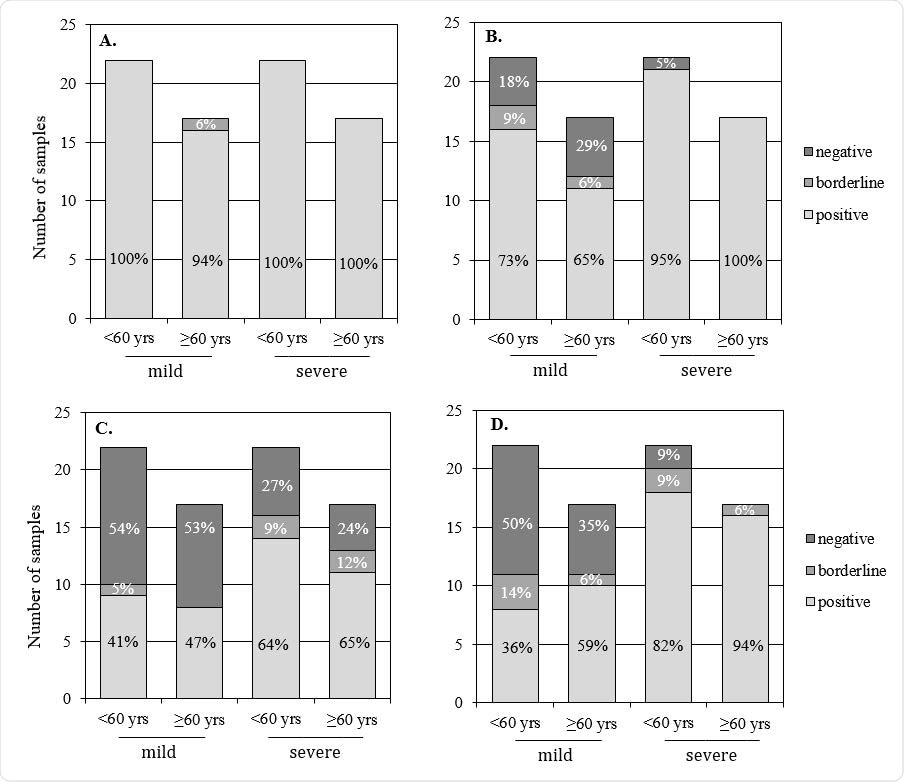
The proportion of subjects positive, low positive (borderline) and negative for neutralizing antibodies twelve months after infection against four SARS-CoV-2 virus strains (n=78). A. Wild-type virus (B.1). B. Alpha variant (B.1.1.7). C. Beta variant (B.1.351). D. Delta variant (B.1.617.2).
The proportion of subjects positive, low positive (borderline) and negative for neutralizing antibodies twelve months after infection against four SARS-CoV-2 virus strains (n=78). A. Wild-type virus (B.1). B. Alpha variant (B.1.1.7). C. Beta variant (B.1.351). D. Delta variant (B.1.617.2).

“We showed that S-IgG antibodies and, most importantly, NAbs persist in most subjects for at least a year following SARS-CoV-2 infection,” says Haveri and colleagues. “This strongly suggests that protection against re-infection is long-lived.”

The mean concentration of IgG and NAb levels was higher at six months post-infection among those who had recovered from severe versus mild disease. The difference was 2.0 to 7.4-fold depending on the age group, and persisted for at least twelve months following diagnosis.

“In accordance with previous observations, subjects with severe infection had higher N-IgG, S-IgG concentrations and NAb titers than subjects with mild infection and are expected to remain seropositive for longer,” says the team.

NAb titers were significantly lower against variants of concern

Among the 78 individuals selected to compare the neutralization of wild-type virus and the three variants of concerns, NAb titers were significantly lower for all three variants.

Compared to the wild-type virus, geometric mean titers were 1.2 to 2.2-fold lower for the B.1.1.7 variant, 3.3 to 6.6-fold lower for B.1.351, and 2.6 to 3.5-fold lower for B.1.617.2.

“The results of our study support previous findings indicating that protection against infection mediated by neutralizing antibodies may be impaired against the variants of concern, especially after a mild disease,” says Haveri and colleagues.

However, the team says that “while in the absence of neutralizing antibodies re-infection is possible, cellular immunity is not similarly affected by mutations in the RBD site and is likely to provide long-term protection against severe disease.”

This news article was a review of a preliminary scientific report that had not undergone peer-review at the time of publication. Since its initial publication, the scientific report has now been peer reviewed and accepted for publication in a Scientific Journal. Links to the preliminary and peer-reviewed reports are available in the Sources section at the bottom of this article. View Sources

Journal references:

Article Revisions

  • Apr 11 2023 - The preprint preliminary research paper that this article was based upon was accepted for publication in a peer-reviewed Scientific Journal. This article was edited accordingly to include a link to the final peer-reviewed paper, now shown in the sources section.
Sally Robertson

Written by

Sally Robertson

Sally first developed an interest in medical communications when she took on the role of Journal Development Editor for BioMed Central (BMC), after having graduated with a degree in biomedical science from Greenwich University.

Citations

Please use one of the following formats to cite this article in your essay, paper or report:

  • APA

    Robertson, Sally. (2023, April 11). Neutralizing antibodies persist against SARS-CoV-2 at least a year after infection. News-Medical. Retrieved on January 17, 2026 from https://www.appetitesciencelab.com/news/20210719/Neutralizing-antibodies-persist-against-SARS-CoV-2-at-least-a-year-after-infection.aspx.

  • MLA

    Robertson, Sally. "Neutralizing antibodies persist against SARS-CoV-2 at least a year after infection". News-Medical. 17 January 2026. <https://www.appetitesciencelab.com/news/20210719/Neutralizing-antibodies-persist-against-SARS-CoV-2-at-least-a-year-after-infection.aspx>.

  • Chicago

    Robertson, Sally. "Neutralizing antibodies persist against SARS-CoV-2 at least a year after infection". News-Medical. https://www.appetitesciencelab.com/news/20210719/Neutralizing-antibodies-persist-against-SARS-CoV-2-at-least-a-year-after-infection.aspx. (accessed January 17, 2026).

  • Harvard

    Robertson, Sally. 2023. Neutralizing antibodies persist against SARS-CoV-2 at least a year after infection. News-Medical, viewed 17 January 2026, https://www.appetitesciencelab.com/news/20210719/Neutralizing-antibodies-persist-against-SARS-CoV-2-at-least-a-year-after-infection.aspx.

Comments

The opinions expressed here are the views of the writer and do not necessarily reflect the views and opinions of News Medical.
Post a new comment
Post

Sign in to keep reading

We're committed to providing free access to quality science. By registering and providing insight into your preferences you're joining a community of over 1m science interested individuals and help us to provide you with insightful content whilst keeping our service free.

or

While we only use edited and approved content for Azthena answers, it may on occasions provide incorrect responses. Please confirm any data provided with the related suppliers or authors. We do not provide medical advice, if you search for medical information you must always consult a medical professional before acting on any information provided.

Your questions, but not your email details will be shared with OpenAI and retained for 30 days in accordance with their privacy principles.

Please do not ask questions that use sensitive or confidential information.

Read the full Terms & Conditions.

You might also like...
SARS-CoV-2 evolves after jumping from humans to zoo animals