Research looks at SARS-CoV-2 transmission from people to pets

A large team of researchers from the US demonstrated that pets with the severe acute respiratory syndrome coronavirus 2 (SARS-CoV-2) likely acquired the putative virus from humans.  This suggests that human-animal infection may actually occur much more frequently than previously thought – implying that infected individuals should limit their contact with animals. The paper is currently available on the bioRxiv* preprint server.

This news article was a review of a preliminary scientific report that had not undergone peer-review at the time of publication. Since its initial publication, the scientific report has now been peer reviewed and accepted for publication in a Scientific Journal. Links to the preliminary and peer-reviewed reports are available in the Sources section at the bottom of this article. View Sources

Both natural and experimental infections with SARS-CoV-2 – a causative agent of the ongoing coronavirus disease 2019 (COVID-19) pandemic – have been demonstrated in various species of companion animals, which includes dogs, cats, hamsters, rabbits, and ferrets.

However, albeit cats, hamsters, and ferrets were shown to transmit SARS-CoV-2 to naïve members of the same species, natural infections of companion animals have been seen almost exclusively after contact with an individual has COVID-19.

Due to omnipresent human-animal interactions, this issue has to be taken into account during pandemic times, potentially with the use of the One Health approach, which is a transdisciplinary and multisectoral collaboration that aims to achieve optimal health outcomes by acknowledging the interconnectedness between people, animals, plants and their mutual environment.

Hence, as a part of an ongoing COVID-19 household transmission investigation, researchers from Utah and Wisconsin conducted a One Health appraisal of SARS-CoV-2 infection in pet cohabitants as one of the earliest research endeavors in assessing risk and behavioral factors shared between people and pets.

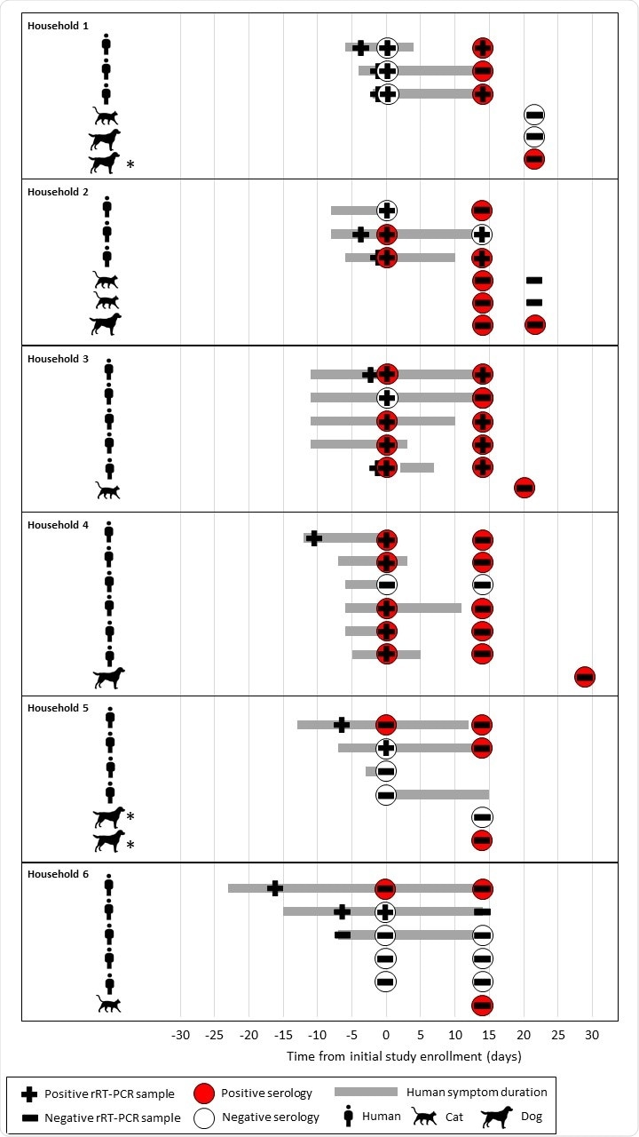
COVID-19 diagnostic testing and symptom duration among humans and animals in households with a seropositive pet, One Health COVID-19 Household Transmission Investigation, April–May 2020. Symptoms durations are shown only for humans. Pets with clinical signs are denoted with an *.
COVID-19 diagnostic testing and symptom duration among humans and animals in households with a seropositive pet, One Health COVID-19 Household Transmission Investigation, April–May 2020. Symptoms durations are shown only for humans. Pets with clinical signs are denoted with an *.

The hunt for viral RNA and antibodies in pets

The study was conducted between April and May of 2020, and mammalian pets from households with one (or more than one) individual with laboratory-confirmed COVID-19 were eligible for inclusion. Physical characteristics of each residence (which includes size) were described in depth.

In short, demographic and exposure information has been collected from all household members. At the same time, the pets were tested with the use of real-time reverse transcription-polymerase chain reaction (rRT-PCR) and neutralization assays from oropharyngeal, nasal, rectal, fur, fecal, and blood samples.

However, the analysis of household prevention measures (such as the use of facemasks by index patients) has been hampered by small sample sizes in this study; hence, additional investigations are warranted to characterize their effectiveness for the prevention of SARS-CoV-2 transmission to pets.

Like owner, like pet

All oropharyngeal, nasal, and rectal swabs from the tested animals were negative by when rRT-PCR was conducted; however, fur swabs from the one dog tested positive with the use of this molecular method at the first animal sampling. This is actually the first study to detect RNA of a virus from an animal fur.

Furthermore, in households where individuals with laboratory-confirmed COVID-19 resided together with their pets, 20% had pets with serological evidence of prior SARS-CoV-2 infection, implying a certain rate of secondary viral transmission. More specifically, there were four dogs and four cats from six households with detectable neutralizing antibodies against the virus.

SARS-CoV-2 seropositivity in pets was more pervasive in households with higher rates of human COVID-19 infections and much less prevalent in cases when owners limited interactions with their pets after they have developed symptoms of the disease.

One Health in pandemic preparedness

Even though the risk of transmission can still be considered low, comprehending the exact epidemiologic role of animals in the ongoing COVID-19 pandemic is pivotal to inform guidance and decision-making for both public health officers and animal health officials.

“Our findings add to the growing body of evidence demonstrating SARS-CoV-2 transmission can occur between people and pets – most often from people to pets – and suggest this transmission may occur more frequently than previously recognized”, say study authors in this bioRxiv paper.

In any case, the findings in this study underscore the importance of additional research, which includes identifying specific risk factors for human-to-pet transmission, taking into account pets in public health guidance during the pandemic era, but also the inclusion of pets in future pandemic preparedness planning.

This news article was a review of a preliminary scientific report that had not undergone peer-review at the time of publication. Since its initial publication, the scientific report has now been peer reviewed and accepted for publication in a Scientific Journal. Links to the preliminary and peer-reviewed reports are available in the Sources section at the bottom of this article. View Sources

Journal references:

Article Revisions

  • Apr 8 2023 - The preprint preliminary research paper that this article was based upon was accepted for publication in a peer-reviewed Scientific Journal. This article was edited accordingly to include a link to the final peer-reviewed paper, now shown in the sources section.
Dr. Tomislav Meštrović

Written by

Dr. Tomislav Meštrović

Dr. Tomislav Meštrović is a medical doctor (MD) with a Ph.D. in biomedical and health sciences, specialist in the field of clinical microbiology, and an Assistant Professor at Croatia's youngest university - University North. In addition to his interest in clinical, research and lecturing activities, his immense passion for medical writing and scientific communication goes back to his student days. He enjoys contributing back to the community. In his spare time, Tomislav is a movie buff and an avid traveler.

Citations

Please use one of the following formats to cite this article in your essay, paper or report:

  • APA

    Meštrović, Tomislav. (2023, April 08). Research looks at SARS-CoV-2 transmission from people to pets. News-Medical. Retrieved on January 19, 2026 from https://www.appetitesciencelab.com/news/20210418/Research-looks-at-SARS-CoV-2-transmission-from-people-to-pets.aspx.

  • MLA

    Meštrović, Tomislav. "Research looks at SARS-CoV-2 transmission from people to pets". News-Medical. 19 January 2026. <https://www.appetitesciencelab.com/news/20210418/Research-looks-at-SARS-CoV-2-transmission-from-people-to-pets.aspx>.

  • Chicago

    Meštrović, Tomislav. "Research looks at SARS-CoV-2 transmission from people to pets". News-Medical. https://www.appetitesciencelab.com/news/20210418/Research-looks-at-SARS-CoV-2-transmission-from-people-to-pets.aspx. (accessed January 19, 2026).

  • Harvard

    Meštrović, Tomislav. 2023. Research looks at SARS-CoV-2 transmission from people to pets. News-Medical, viewed 19 January 2026, https://www.appetitesciencelab.com/news/20210418/Research-looks-at-SARS-CoV-2-transmission-from-people-to-pets.aspx.

Comments

The opinions expressed here are the views of the writer and do not necessarily reflect the views and opinions of News Medical.
Post a new comment
Post

Sign in to keep reading

We're committed to providing free access to quality science. By registering and providing insight into your preferences you're joining a community of over 1m science interested individuals and help us to provide you with insightful content whilst keeping our service free.

or

While we only use edited and approved content for Azthena answers, it may on occasions provide incorrect responses. Please confirm any data provided with the related suppliers or authors. We do not provide medical advice, if you search for medical information you must always consult a medical professional before acting on any information provided.

Your questions, but not your email details will be shared with OpenAI and retained for 30 days in accordance with their privacy principles.

Please do not ask questions that use sensitive or confidential information.

Read the full Terms & Conditions.

You might also like...
What Americans eat is driving global nutrition research