Comparing the transmission routes of two SARS-CoV-2 variants of concern

Since early 2020, multiple variants of severe acute respiratory syndrome coronavirus 2 (SARS-CoV-2) have acquired various genetic mutations that allow for potentially novel or enhanced characteristics over the ancestral virus.

One of the most notorious mutations is the D614G substitution in the spike protein of SARS-CoV-2, which has now surpassed the first wave strain as the dominant form circulating globally. This mutation is associated with enhanced viral fitness, greatly accelerating virus replication rates in human cells.

Scientists in India wished to compare the rate of transmission between the D614G variant strain and the UK variant (B.1.1.7, or VOC202012/01), identified in late 2020. The UK variant is a VoC (a variant of concern). It has also obtained mutations similar to the D614G substitution to provide greater fitness and mutations to yield great vaccine evasion.

The research team had previously identified the UK variant as having higher viral RNA shedding than the D614G variant. However here, they wanted to compare the transmission of such variants through different routes of potential infection: direct contact, aerosol (airborne droplets), and fomite (objects which may be contaminated and therefore spread infectious agents).

A pre-print version of the research paper is available to read in full on the bioRxiv*server.

The research team, lead by Dr. Pragya Yadav from the Indian Council of Medical Research-National Institute of Virology, experimentally infected two sets of 9 hamsters with either the UK or D614G SARS-CoV-2 variant.

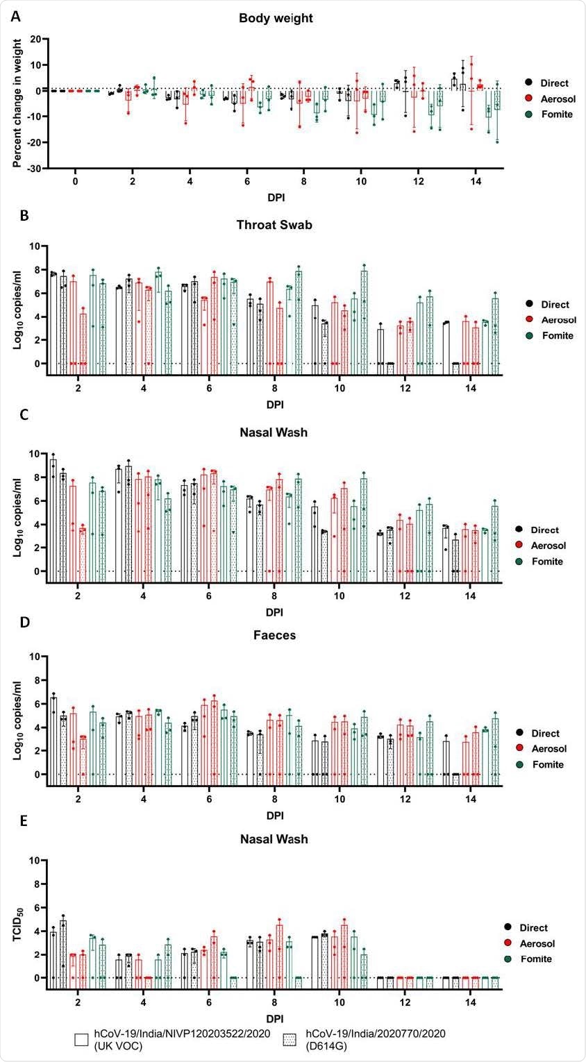
Significant weight loss was observed in all donor hamsters, more so in those exposed to the UK variant (-11 ± 2.82%, -6.66 ± 1.36% for D614G), although this weight was regained once the infection had passed. Viral load was tested in each hamster for every alternating day up until 14 days post-infection.

To test the effectiveness of direct transmission, three donor hamsters from each group were co-housed with a naïve “contact” hamster, 24 hours post-infection. Contact hamsters exposed to the UK variant experienced weight loss of -2.93 ± 0.34%, and those exposed to the D614G variant experienced -4.8 ± 3/13%. All contact hamsters showed viral load following co-habitation with infection hamsters of both variants, showing virus presence until 10 days post-infection.

The results of this direct transmission study cannot rule out the effects of aerosol or fomites, so the researchers tested these two routes independently.

Percent body weight change and SARS-CoV-2 load in the hamsters post exposure. (A)The body weight change in hamsters following exposure with SARSCoV- 2 infected hamsters by direct, aerosol and fomite contact. Viral gRNA load in (B) throat swab (C) nasal wash (D) faeces in hamsters exposed by direct, aerosol and fomite contact. (E)Viral load in nasal wash samples of contact hamsters exposed by direct, aerosol and fomite contact estimated by titration in Vero CCL-81 cells expressed in TCID50.
Percent body weight change and SARS-CoV-2 load in the hamsters post-exposure. (A)The body weight change in hamsters following exposure with SARS-CoV- 2 infected hamsters by direct, aerosol and fomite contact. Viral gRNA load in (B) throat swab (C) nasal wash (D) feces in hamsters exposed by direct, aerosol and fomite contact. (E)Viral load in nasal wash samples of contact hamsters exposed by direct, aerosol and fomite contact estimated by titration in Vero CCL-81 cells expressed in TCID50.

To test for aerosol transmission, infected hamsters were co-housed with naïve contact hamsters with a ventilated partition for 8 hours. One hamster of the D614G group showed negligible infection, however, the remaining contact hamsters showed average weight loss of -8.9% and -4.2% for UK and D614G variants, respectively.

Finally, to test fomite transmission, naïve hamsters were housed in cages with bedding and water bottles that previously housed infected hamsters for 48 hours. Weight loss was observed and viral load was detected in the hamsters, contrary to previous studies suggesting fomite transmission is less efficient. However, the researchers noted while viral remnant RNA was present for up to 14 days post-infection, live virus particles could not actually be detected from day 6 in D614G and day 10 in the UK variant.

Concluding remarks

The researchers conclude that all routes of transmission by both variants are efficient. However, the differences in weight loss and viral load most likely correlate to the volume of the virus each animal was exposed to since the direct contact hamsters had greater exposure, they experienced more significant weight loss and vice versa for fomites. Both a Mann-Whitney and Kruskal Wallis test, additionally, did not highlight any statistical difference between body weight loss and viral shedding pattern.

Antibodies were detected in all inoculated and contact hamsters (with the exception of the one negligibly affected D614G hamster), with detectable RNA genome found in all animals by day 2 post-exposure, demonstrating comparable transmission efficiency of both the UK and D614G variants of SARS-CoV-2, at least in Syrian hamsters.

Important notice

bioRxiv publishes preliminary scientific reports that are not peer-reviewed and, therefore, should not be regarded as conclusive, guide clinical practice/health-related behavior, or treated as established information.

Journal reference:
Michael Burgess

Written by

Michael Burgess

Michael graduated with a first-class degree in Zoology from the University of Hull, and later received a Masters degree in Palaeobiology from the University of Bristol.

Citations

Please use one of the following formats to cite this article in your essay, paper or report:

  • APA

    Burgess, Michael. (2021, March 30). Comparing the transmission routes of two SARS-CoV-2 variants of concern. News-Medical. Retrieved on January 17, 2026 from https://www.appetitesciencelab.com/news/20210330/Comparing-the-transmission-routes-of-two-SARS-CoV-2-variants-of-concern.aspx.

  • MLA

    Burgess, Michael. "Comparing the transmission routes of two SARS-CoV-2 variants of concern". News-Medical. 17 January 2026. <https://www.appetitesciencelab.com/news/20210330/Comparing-the-transmission-routes-of-two-SARS-CoV-2-variants-of-concern.aspx>.

  • Chicago

    Burgess, Michael. "Comparing the transmission routes of two SARS-CoV-2 variants of concern". News-Medical. https://www.appetitesciencelab.com/news/20210330/Comparing-the-transmission-routes-of-two-SARS-CoV-2-variants-of-concern.aspx. (accessed January 17, 2026).

  • Harvard

    Burgess, Michael. 2021. Comparing the transmission routes of two SARS-CoV-2 variants of concern. News-Medical, viewed 17 January 2026, https://www.appetitesciencelab.com/news/20210330/Comparing-the-transmission-routes-of-two-SARS-CoV-2-variants-of-concern.aspx.

Comments

The opinions expressed here are the views of the writer and do not necessarily reflect the views and opinions of News Medical.
Post a new comment
Post

Sign in to keep reading

We're committed to providing free access to quality science. By registering and providing insight into your preferences you're joining a community of over 1m science interested individuals and help us to provide you with insightful content whilst keeping our service free.

or

While we only use edited and approved content for Azthena answers, it may on occasions provide incorrect responses. Please confirm any data provided with the related suppliers or authors. We do not provide medical advice, if you search for medical information you must always consult a medical professional before acting on any information provided.

Your questions, but not your email details will be shared with OpenAI and retained for 30 days in accordance with their privacy principles.

Please do not ask questions that use sensitive or confidential information.

Read the full Terms & Conditions.

You might also like...
How pandemic viruses spread across U.S. cities before anyone notices