GDP significantly associated with greater COVID-19 vaccine distribution

COVID-19 was declared a global pandemic by the World Health Organization (WHO) in March 2020, and the coronavirus outbreak has since spread to over 192 countries and territories around the world, negatively impacting public health and bringing socio-economic hardship. According to a report published by the Bureau of Economic Analysis, the world's gross domestic product (GDP) fell by 4.6% in 2020. As per WHO estimates, at least 65% of the world population should be vaccinated to contain the virus's spread and achieve herd immunity.

Vaccine developers are estimated to make sufficient doses to cater to one-third of the world population by the end of 2021, most of which have already been pre-ordered by developed countries. This means lower-income, developing countries may need to wait until 2023 for the vaccine. Rich countries also have better medical infrastructure and more resources to provide vaccination to their citizens by facilitating mass vaccination programs. To better understand economic indicators and health interventions, previous studies have used measures of gross domestic product (GDP) and human development index (HDI).

This news article was a review of a preliminary scientific report that had not undergone peer-review at the time of publication. Since its initial publication, the scientific report has now been peer reviewed and accepted for publication in a Scientific Journal. Links to the preliminary and peer-reviewed reports are available in the Sources section at the bottom of this article. View Sources

Analyzing the association between HDI / GDP and COVID-19 vaccine distribution

Researchers from the US recently analyzed the association between the two macro-socioeconomics measures – HDI and GDP - and COVID-19 vaccine distribution across 25 countries until the first week of February 2021. The study is published on the preprint server medRxiv*.

Data for this analysis was taken from the Coronavirus Pandemic data sets of Our Data in World. The site provided daily vaccination rates in various countries, GDP per capita, and HDI values such as education, life expectation, and living standard measures.

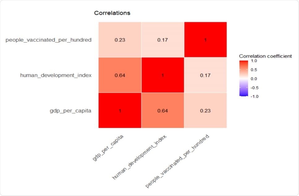
The analysis results clearly indicate that a higher GDP per capita is associated with greater COVID-19 vaccine distribution. Also, HDI was not found to have a significant relationship with vaccine distribution. Although these macro-socioeconomic measures may be considered as key indicators for vaccine distribution, other factors such as advanced health infrastructure, population size, and a centralized political system may play important roles in vaccine distribution.

"This study shows that higher GDP per capita is significantly associated with greater numbers of vaccinations; however, there was no significant relationship between HDI and vaccine distribution."

GDP is significantly associated with higher number of vaccinations, while HDI is not

This study's findings prove that higher GDP per capita is significantly associated with a higher number of vaccinations, but HDI is not associated with higher vaccine distribution. Although GDP per capita and vaccine distribution seem to have a linear relationship, UAE and Israel have greater success in vaccine distribution compared to their counterparts.

"GDP can play a vital role in people's immunization; however, some countries with a lower GDP per capita still have a better performance."

According to the authors, these differences can be attributed to their priorities, health policies, and other medical interventions beyond this study's scope. Norway, which has a high GDP per, capita has a relatively lower vaccination distribution, which can be associated with concerns other than medical facilities.

Findings highlight key implications of the relationship between vaccine distribution and socio-economic determinants

The above findings imply that GDP may be a more crucial socio-economic measure than HDI to consider during a pandemic. Higher GDP can support the production, testing, and distribution of vaccines more than HDI. The authors concluded that a more comprehensive assessment of the relationship between HDI and vaccine distribution is needed.

By highlighting the important implications of the relationship between vaccine distribution and socio-economic determinants, this work makes a vital contribution to COVID-19 research. Interestingly, it also shows that although GDP plays a key role in immunization, some countries with a lower GDP still perform better with respect to vaccine distribution. According to the researchers, more studies in the future should focus on the hidden factors that could explain what other elements can speed up vaccine distribution.

"We can conclude that with a longer duration of time, we may have a more comprehensive assessment between HDI and vaccine distribution."

This news article was a review of a preliminary scientific report that had not undergone peer-review at the time of publication. Since its initial publication, the scientific report has now been peer reviewed and accepted for publication in a Scientific Journal. Links to the preliminary and peer-reviewed reports are available in the Sources section at the bottom of this article. View Sources

Journal references:

Article Revisions

  • Apr 5 2023 - The preprint preliminary research paper that this article was based upon was accepted for publication in a peer-reviewed Scientific Journal. This article was edited accordingly to include a link to the final peer-reviewed paper, now shown in the sources section.
Susha Cheriyedath

Written by

Susha Cheriyedath

Susha is a scientific communication professional holding a Master's degree in Biochemistry, with expertise in Microbiology, Physiology, Biotechnology, and Nutrition. After a two-year tenure as a lecturer from 2000 to 2002, where she mentored undergraduates studying Biochemistry, she transitioned into editorial roles within scientific publishing. She has accumulated nearly two decades of experience in medical communication, assuming diverse roles in research, writing, editing, and editorial management.

Citations

Please use one of the following formats to cite this article in your essay, paper or report:

  • APA

    Cheriyedath, Susha. (2023, April 05). GDP significantly associated with greater COVID-19 vaccine distribution. News-Medical. Retrieved on January 20, 2026 from https://www.appetitesciencelab.com/news/20210217/GDP-significantly-associated-with-greater-COVID-19-vaccine-distribution.aspx.

  • MLA

    Cheriyedath, Susha. "GDP significantly associated with greater COVID-19 vaccine distribution". News-Medical. 20 January 2026. <https://www.appetitesciencelab.com/news/20210217/GDP-significantly-associated-with-greater-COVID-19-vaccine-distribution.aspx>.

  • Chicago

    Cheriyedath, Susha. "GDP significantly associated with greater COVID-19 vaccine distribution". News-Medical. https://www.appetitesciencelab.com/news/20210217/GDP-significantly-associated-with-greater-COVID-19-vaccine-distribution.aspx. (accessed January 20, 2026).

  • Harvard

    Cheriyedath, Susha. 2023. GDP significantly associated with greater COVID-19 vaccine distribution. News-Medical, viewed 20 January 2026, https://www.appetitesciencelab.com/news/20210217/GDP-significantly-associated-with-greater-COVID-19-vaccine-distribution.aspx.

Comments

The opinions expressed here are the views of the writer and do not necessarily reflect the views and opinions of News Medical.
Post a new comment
Post

Sign in to keep reading

We're committed to providing free access to quality science. By registering and providing insight into your preferences you're joining a community of over 1m science interested individuals and help us to provide you with insightful content whilst keeping our service free.

or

While we only use edited and approved content for Azthena answers, it may on occasions provide incorrect responses. Please confirm any data provided with the related suppliers or authors. We do not provide medical advice, if you search for medical information you must always consult a medical professional before acting on any information provided.

Your questions, but not your email details will be shared with OpenAI and retained for 30 days in accordance with their privacy principles.

Please do not ask questions that use sensitive or confidential information.

Read the full Terms & Conditions.

You might also like...
Inside the FDA’s vaccine uproar