SARS-CoV-2-specific IgM / IgG responses accurately predict COVID-19 outcome

Coronavirus disease (COVID-19) caused by severe acute respiratory syndrome coronavirus 2 (SARS-CoV-2) emerged in late 2019 in Wuhan, China, and rapidly progressed into a devastating pandemic affecting global public health and crippling economies. So far, the COVID-19 pandemic has caused more than 55.4 million infections and over 1.33 million deaths worldwide.

COVID-19 targets the upper and lower respiratory systems and causes flu-like symptoms in most infected people. Although many COVID-19 patients experience only mild symptoms, some patients have severe symptoms leading to massive lung damage. Treatment options for COVID-19 are limited and the crude mortality rate estimated by the WHO is around 2.9%. Although a preventive vaccine for COVID-19 could eventually become available, unless sufficient herd immunity is achieved, COVID-19 could potentially cause significant morbidity and mortality over the coming years.

This highlights the significance of understanding the role of the immune system in the progression and clinical outcome of COVID-19 patients to improve clinical management and develop effective vaccines and therapeutic interventions. A better understanding of the role of immunity might help identify applicable biomarkers that can predict the clinical outcome of COVID-19.

Study: SARS-CoV-2 antibody signatures for predicting the outcome of COVID-19. Image Credit: Kateryna Kon / Shutterstock
Study: SARS-CoV-2 antibody signatures for predicting the outcome of COVID-19. Image Credit: Kateryna Kon / Shutterstock

This news article was a review of a preliminary scientific report that had not undergone peer-review at the time of publication. Since its initial publication, the scientific report has now been peer reviewed and accepted for publication in a Scientific Journal. Links to the preliminary and peer-reviewed reports are available in the Sources section at the bottom of this article. View Sources

IgM, IgG, and IgA antibodies increase and stay elevated during COVID-19 progression

SARS-CoV-2, like SARS-CoV and MERS-CoV, is part of the betacoronavirus family and its genome encodes 4 major structural proteins - envelope (E), spike (S), membrane (M), and nucleocapsid (N); 15 non-structural proteins - Nsp1-10 and Nsp12-16; and 9 accessory proteins. The S protein has the N-terminal S1 peptide with a key receptor-binding domain region and C-terminal S2 fragment. It plays an important role in viral attachment, fusion, and entry into the host cells with the viral receptor angiotensin-converting enzyme 2.

Rapidly growing serological evidence shows that IgM, IgG, and IgA antibodies against the S or N proteins evolve rapidly in the serum of asymptomatic as well as symptomatic COVID-19 patients within a week of infection or symptom onset and stay elevated with progressing disease. However, not much is known about humoral immune responses to the rest of the structural and non-structural SARS-CoV-2 proteins during disease progression.

Novel proteome microarray with 20 SARS-CoV-2 proteins to understand IgM/IgG responses

Researchers from the Huazhong University of Science and Technology and Shanghai Jiao Tong University, China, recently built a proteome microarray with 20 out of the 28 predicted SARS-CoV-2 proteins to help understand IgM/IgG responses specific to SARS-CoV-2. Their study is published on the preprint server medRxiv* prior to undergoing the peer review process.

The team assumed that anti-SARS-CoV-2 IgM and IgG antibodies may serve as biomarkers that can predict prognosis and outcome in COVID-19 patients. Using the SARS-CoV-2 proteome microarray, they analyzed IgM/IgG responses in 1,034 hospitalized COVID-19 patients against 20 SARS-CoV-2 proteins.  The analysis was performed on admission and continued for 66 days. The results from the microarray were correlated with laboratory test results, clinical information, and patient outcomes. They used the Cox proportional hazards model to determine the association between SARS-CoV-2-specific antibodies and mortality in COVID-19 patients.

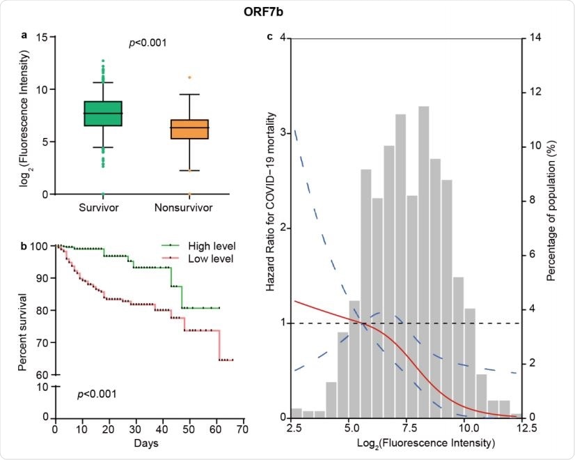
The levels of ORF7b IgM responses independently predict survival of COVID-19. (a) Comparison of the levels of IgM response to ORF7b between 955 survivors and 79 nonsurvivors. The boxplots show medians (middle line) and the third and the first quartiles (boxes), while the tentacles show 97.5 and 2.5 percentiles of the upper and lower parts of the box. (b) Kaplan-Meier survival curves of patients with different levels of IgM antibody against ORF7b. Based on the median level of ORF7b specific IgM responses, patients were classified as both high and low level groups. (c) The restricted cubic spline for the association between ORF7b IgM and risk of COVID-19 mortality. The lines represent adjusted hazard ratios (HRs) based on restricted cubic splines for the levels of ORF7b IgM in Cox regression model. Knots were placed at the 5th, 50th, and 95th percentiles of the distribution of ORF7b specific IgM levels, and the reference value was set at the 10th percentile. Age, sex, diabetes, hypertension, lymphopenia, increased alanine aminotransferase, and increased lactate dehydrogenase were used as adjustment factors.
The levels of ORF7b IgM responses independently predict survival of COVID-19. (a) Comparison of the levels of IgM response to ORF7b between 955 survivors and 79 nonsurvivors. The boxplots show medians (middle line) and the third and the first quartiles (boxes), while the tentacles show 97.5 and 2.5 percentiles of the upper and lower parts of the box. (b) Kaplan-Meier survival curves of patients with different levels of IgM antibody against ORF7b. Based on the median level of ORF7b specific IgM responses, patients were classified as both high and low level groups. (c) The restricted cubic spline for the association between ORF7b IgM and risk of COVID-19 mortality. The lines represent adjusted hazard ratios (HRs) based on restricted cubic splines for the levels of ORF7b IgM in Cox regression model. Knots were placed at the 5th, 50th, and 95th percentiles of the distribution of ORF7b specific IgM levels, and the reference value was set at the 10th percentile. Age, sex, diabetes, hypertension, lymphopenia, increased alanine aminotransferase, and increased lactate dehydrogenase were used as adjustment factors.

IgM / IgG response levels to SARS-CoV-2 proteins are important predictors of patient survival and mortality

The team found that high level of IgM against ORF7b at the time of hospitalization is an independent predictor of patient survival, while IgG response levels to 6 non-structural proteins - NSP4, NSP7, NSP9, NSP10, RdRp (NSP12), NSP14 - and 1 accessory protein - ORF3b - is a significant predictor of patient mortality.

“Our results demonstrate that high level of IgM antibody against ORF7b at the time of hospitalization is an independent predictor of patient survival, while IgG responses to NSP9 and NSP10 possess significant predictive power for patient death.”

These results were accurate even after adjustments for comorbidities, demographics, and common lab markers for disease severity. Spline regression analysis showed that the correlation between NSP9 IgG, ORF7b IgM, and NSP10 IgG and COVID-19 mortality risk is linear. Their areas under curve for predictions were determined using computational cross-validations and were 0.74, 0.66, and 0.68, respectively.

Further validations conducted in the serial samples of these cases showed high accuracy of prediction for clinical outcome. The authors believe that these findings have significant implications for improving clinical management and developing therapeutic interventions and vaccines.

“Our research might improve clinical management and guide the development of effective medical interventions and vaccines by enhancing the further understanding of the pathogenesis of COVID-19.”

This news article was a review of a preliminary scientific report that had not undergone peer-review at the time of publication. Since its initial publication, the scientific report has now been peer reviewed and accepted for publication in a Scientific Journal. Links to the preliminary and peer-reviewed reports are available in the Sources section at the bottom of this article. View Sources

Journal references:

Article Revisions

  • Mar 30 2023 - The preprint preliminary research paper that this article was based upon was accepted for publication in a peer-reviewed Scientific Journal. This article was edited accordingly to include a link to the final peer-reviewed paper, now shown in the sources section.
Susha Cheriyedath

Written by

Susha Cheriyedath

Susha is a scientific communication professional holding a Master's degree in Biochemistry, with expertise in Microbiology, Physiology, Biotechnology, and Nutrition. After a two-year tenure as a lecturer from 2000 to 2002, where she mentored undergraduates studying Biochemistry, she transitioned into editorial roles within scientific publishing. She has accumulated nearly two decades of experience in medical communication, assuming diverse roles in research, writing, editing, and editorial management.

Citations

Please use one of the following formats to cite this article in your essay, paper or report:

  • APA

    Cheriyedath, Susha. (2023, March 30). SARS-CoV-2-specific IgM / IgG responses accurately predict COVID-19 outcome. News-Medical. Retrieved on January 19, 2026 from https://www.appetitesciencelab.com/news/20201117/SARS-CoV-2-specific-IgM-IgG-responses-accurately-predict-COVID-19-outcome.aspx.

  • MLA

    Cheriyedath, Susha. "SARS-CoV-2-specific IgM / IgG responses accurately predict COVID-19 outcome". News-Medical. 19 January 2026. <https://www.appetitesciencelab.com/news/20201117/SARS-CoV-2-specific-IgM-IgG-responses-accurately-predict-COVID-19-outcome.aspx>.

  • Chicago

    Cheriyedath, Susha. "SARS-CoV-2-specific IgM / IgG responses accurately predict COVID-19 outcome". News-Medical. https://www.appetitesciencelab.com/news/20201117/SARS-CoV-2-specific-IgM-IgG-responses-accurately-predict-COVID-19-outcome.aspx. (accessed January 19, 2026).

  • Harvard

    Cheriyedath, Susha. 2023. SARS-CoV-2-specific IgM / IgG responses accurately predict COVID-19 outcome. News-Medical, viewed 19 January 2026, https://www.appetitesciencelab.com/news/20201117/SARS-CoV-2-specific-IgM-IgG-responses-accurately-predict-COVID-19-outcome.aspx.

Comments

The opinions expressed here are the views of the writer and do not necessarily reflect the views and opinions of News Medical.
Post a new comment
Post

Sign in to keep reading

We're committed to providing free access to quality science. By registering and providing insight into your preferences you're joining a community of over 1m science interested individuals and help us to provide you with insightful content whilst keeping our service free.

or

While we only use edited and approved content for Azthena answers, it may on occasions provide incorrect responses. Please confirm any data provided with the related suppliers or authors. We do not provide medical advice, if you search for medical information you must always consult a medical professional before acting on any information provided.

Your questions, but not your email details will be shared with OpenAI and retained for 30 days in accordance with their privacy principles.

Please do not ask questions that use sensitive or confidential information.

Read the full Terms & Conditions.

You might also like...
SARS-CoV-2 evolves after jumping from humans to zoo animals