Significant SARS-CoV-2 vaccine hesitancy in the U.S.

Over the coming months, SARS-CoV-2 vaccine candidates may become available to the general public. Hundreds of vaccines are currently under clinical evaluation, with ten in the last phase of clinical trials. Though the results of initial investigations on the efficacy and safety of some vaccines are promising, many people are still reluctant to get vaccinated.

A new study by researchers at the Stanley Manne Children's Research Institute at the Northwestern University Feinberg School of Medicine and the Vanderbilt University Medical Center has found that an alarming amount of parents in the United States say they are unlikely to vaccinate their children or themselves against the coronavirus disease (COVID-19), caused by the severe acute respiratory syndrome (SARS-CoV-2).

The study, which appeared on the pre-print server medRxiv*, aimed to determine the parents' likelihood of immunizing their children amid the coronavirus pandemic.

The study

Vaccination plays an imperative role in mitigating transmission risks of viral and bacterial diseases in the community. Throughout history, vaccines helped reduce the risk of being infected or developing severe complications caused by the infection.

To determine if parents are willing to get the vaccines for their children and themselves, the researchers assessed the factors tied to the parents' odds to vaccinate themselves and their kids.

The national household survey spanned between June 5 and 10, 2020. The team asked the parents two-vaccination-specific questions, 1. if they would vaccinate themselves, and 2. if they would vaccinate their children once a vaccine became available.

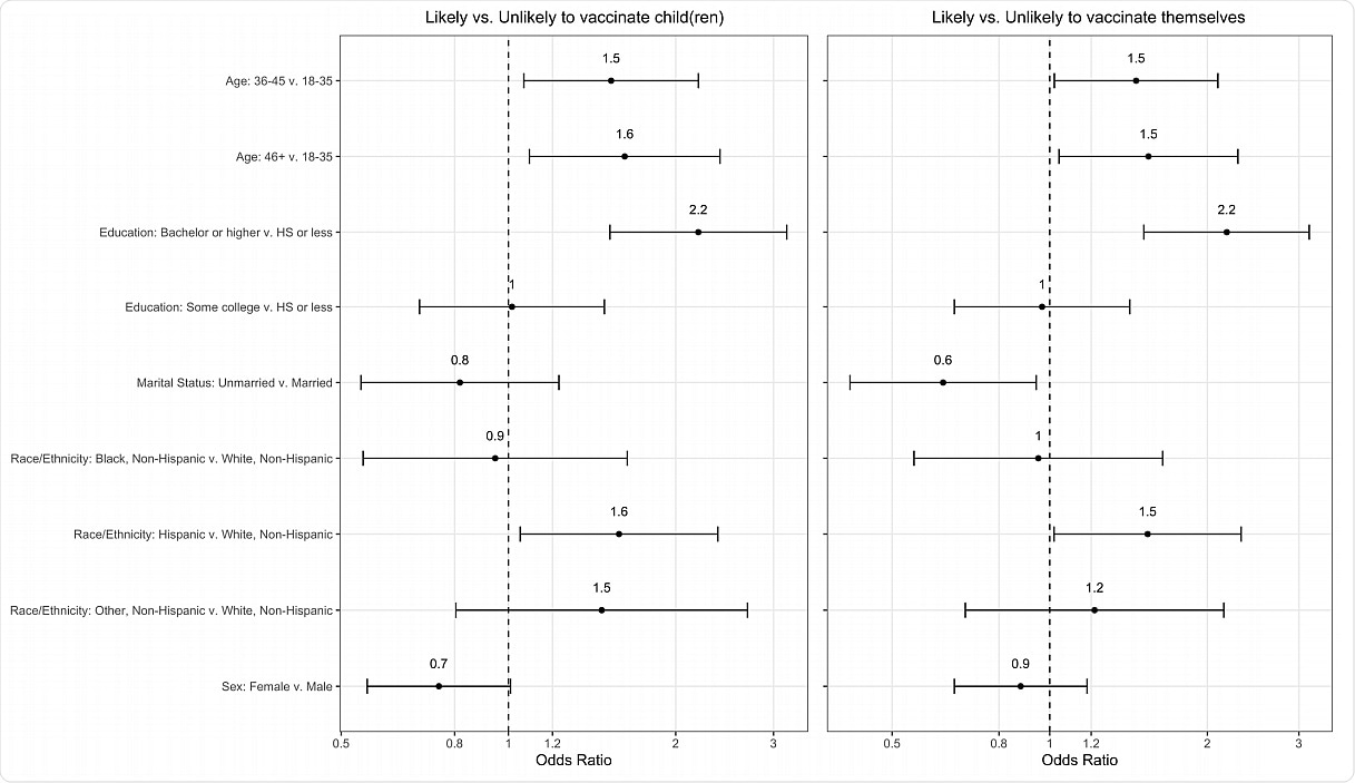
Multivariable models of association of sociodemographic factors with parents’ likelihood of vaccinating their child(ren) a themselves against COVID-19.
Multivariable models of association of sociodemographic factors with parents’ likelihood of vaccinating their child(ren) a themselves against COVID-19.

*Important notice: medRxiv publishes preliminary scientific reports that are not peer-reviewed and, therefore, should not be regarded as conclusive, guide clinical practice/health-related behavior, or treated as established information.

What the survey found

Overall, 63 percent of parents were likely to vaccine their children against COVID-19, while 60 percent said they were likely to get vaccinated themselves.

Parents who are younger and have lower educational attainment were more hesitant to get the vaccine.

"Greater hesitancy regarding childhood vaccines is also commonly associated with less education among parents, often related to strong belief systems regarding risks of disease versus risks of inoculation," the researchers explained.

"Addressing parents' hesitancy to vaccinate themselves and their children against COVID-19 will likely be essential to achieve herd immunity. Working with parents to understand personal reasons for hesitancy will help facilitate uptake when safe and effective vaccines to prevent COVID-19 become available," the team added.

Parents must become aware of the benefits of getting vaccines against various infections, including COVID-19.

Many health experts believe that if more people get vaccinated against SARS-CoV-2, herd immunity could be achieved, leading to fewer cases and deaths tied to COVID-19 in the future.

Who should get vaccinated first?

In anticipation of vaccines for SARS-CoV-2 becoming available, the World Health Organization (WHO) and many governments are contemplating prioritizing and allocating them properly.

Since several SARS-CoV-2 vaccines are already in the last phase of clinical trials, it is essential to determine whom to vaccinate first. A team of researchers at the University of Oxford explored two potential options – vaccinating the elderly or children first.

To reduce the death rate quickly, if there is a limited vaccine supply, immunizing older adults and those at high risk of severe COVID-19 is thought to be the best option. However, the researchers noted that if more vaccines become available, the goal is returning to normal where people can mix without elevated risk. If the vaccines are not very effective in the elderly, it will be important to vaccinate as many people as possible, including younger children.

Older adults may face the problem of vaccines not working efficiently. As a person grows old, the immune system declines, making them less able to induce an efficient and protective immune response after vaccination.

If the purpose is to return to normal, it is imperative to prevent community transmission. By vaccinating young people, who are known to be 'super spreaders,' they could mitigate viral transmission. Also, younger people respond better to vaccines as they mount a more robust immune response. As more children and younger people get vaccinated, they could help protect older and high-risk people because the virus would be less likely to reach them.

*Important notice: medRxiv publishes preliminary scientific reports that are not peer-reviewed and, therefore, should not be regarded as conclusive, guide clinical practice/health-related behavior, or treated as established information.

Journal reference:
Angela Betsaida B. Laguipo

Written by

Angela Betsaida B. Laguipo

Angela is a nurse by profession and a writer by heart. She graduated with honors (Cum Laude) for her Bachelor of Nursing degree at the University of Baguio, Philippines. She is currently completing her Master's Degree where she specialized in Maternal and Child Nursing and worked as a clinical instructor and educator in the School of Nursing at the University of Baguio.

Citations

Please use one of the following formats to cite this article in your essay, paper or report:

  • APA

    Laguipo, Angela. (2020, November 16). Significant SARS-CoV-2 vaccine hesitancy in the U.S.. News-Medical. Retrieved on January 19, 2026 from https://www.appetitesciencelab.com/news/20201116/Significant-SARS-CoV-2-vaccine-hesitancy-in-the-US.aspx.

  • MLA

    Laguipo, Angela. "Significant SARS-CoV-2 vaccine hesitancy in the U.S.". News-Medical. 19 January 2026. <https://www.appetitesciencelab.com/news/20201116/Significant-SARS-CoV-2-vaccine-hesitancy-in-the-US.aspx>.

  • Chicago

    Laguipo, Angela. "Significant SARS-CoV-2 vaccine hesitancy in the U.S.". News-Medical. https://www.appetitesciencelab.com/news/20201116/Significant-SARS-CoV-2-vaccine-hesitancy-in-the-US.aspx. (accessed January 19, 2026).

  • Harvard

    Laguipo, Angela. 2020. Significant SARS-CoV-2 vaccine hesitancy in the U.S.. News-Medical, viewed 19 January 2026, https://www.appetitesciencelab.com/news/20201116/Significant-SARS-CoV-2-vaccine-hesitancy-in-the-US.aspx.

Comments

The opinions expressed here are the views of the writer and do not necessarily reflect the views and opinions of News Medical.
Post a new comment
Post

Sign in to keep reading

We're committed to providing free access to quality science. By registering and providing insight into your preferences you're joining a community of over 1m science interested individuals and help us to provide you with insightful content whilst keeping our service free.

or

While we only use edited and approved content for Azthena answers, it may on occasions provide incorrect responses. Please confirm any data provided with the related suppliers or authors. We do not provide medical advice, if you search for medical information you must always consult a medical professional before acting on any information provided.

Your questions, but not your email details will be shared with OpenAI and retained for 30 days in accordance with their privacy principles.

Please do not ask questions that use sensitive or confidential information.

Read the full Terms & Conditions.

You might also like...
HPV vaccination reduces risk of vulvar and vaginal lesions