Researchers say Influenza may increase risk of COVID-19

A recent study by researchers at the Max Planck Institute for Infection Biology, the Institut Pasteur and the Centre International de Recherche en Infectiologie (CIRI) suggests that the spread of severe acute respiratory syndrome coronavirus 2 (SARS-CoV-2) is influenced by influenza virus infection during the initial period of coronavirus disease 2019 (COVID-19) pandemic in Europe. The study is currently available on the medRxiv* preprint server.

Since its emergence in December 2019 in China, the highly transmissible SARS-CoV-2 has been successful in infecting more than 27.99 million people worldwide and claiming 906,122 lives. Because of the unavailability of appropriate therapeutic interventions or vaccines, several preventive measures have been taken to tackle the pandemic, such as nationwide lockdown in more than 100 countries.

Regarding possible risk factors, several studies have shown that elderly people, male individuals, and people with comorbidities (cardiovascular and/or pulmonary diseases, diabetes, kidney disease, and cancer) are at higher risk of developing severe form of COVID-19, which is associated with high death rate.

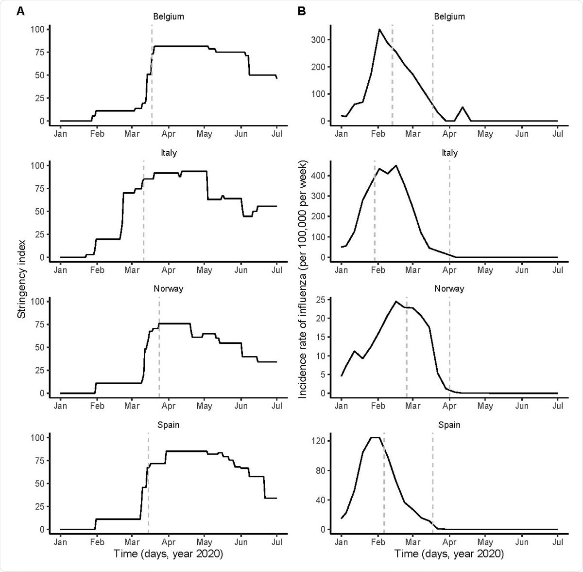
Potential drivers of SARS-CoV-2 transmission in Belgium, Italy, Norway, and Spain. A: time plot of the stringency index, a country-level aggregate measure of the number and of the strictness of non-pharmaceutical control measures implemented by governments. The vertical dashed line indicates the start of the nationwide lockdown [16]. B: time plot of influenza incidence, calculated as the product of the incidence of influenza-like illnesses and of the fraction of samples positive to any influenza virus (see also Fig. S1 for a time plot of the latter two variables). The vertical dashed lines delimitate the period of overlap between SARS-CoV-2 and influenza, defined as the period between the assumed start date of SARS-CoV- 2 community transmission and 6 weeks after the epidemic peak of influenza [46]. In each country, the time series displayed were incorporated as covariates, which modulated the transmission rate of SARS-CoV-2 in our model (see Methods). In B, the y-axis values differ for each panel.
Potential drivers of SARS-CoV-2 transmission in Belgium, Italy, Norway, and Spain. A: time plot of the stringency index, a country-level aggregate measure of the number and of the strictness of non-pharmaceutical control measures implemented by governments. The vertical dashed line indicates the start of the nationwide lockdown. B: time plot of influenza incidence, calculated as the product of the incidence of influenza-like illnesses and of the fraction of samples positive to any influenza virus. The vertical dashed lines delimitate the period of overlap between SARS-CoV-2 and influenza, defined as the period between the assumed start date of SARS-CoV- 2 community transmission and 6 weeks after the epidemic peak of influenza. In each country, the time series displayed were incorporated as covariates, which modulated the transmission rate of SARS-CoV-2 in the model . In B, the y-axis values differ for each panel.
 

This news article was a review of a preliminary scientific report that had not undergone peer-review at the time of publication. Since its initial publication, the scientific report has now been peer reviewed and accepted for publication in a Scientific Journal. Links to the preliminary and peer-reviewed reports are available in the Sources section at the bottom of this article. View Sources

Study hypothesis

Regarding seasonal viral infections of the human respiratory tract, evidences are demonstrating that the interaction between co-circulating pathogens during a pandemic or epidemic situation can be advantageous or disadvantageous in terms of viral spread or disease severity. For example, influenza virus-induced infection has been shown to prevent respiratory syncytial virus-induced secondary infection in ferrets. In contrast, there is evidence showing that influenza infection in the respiratory tract can increase the expression of angiotensin-converting enzyme 2 (ACE2), a receptor in the respiratory epithelium that interacts with the SARS-CoV-2 spike protein and facilitate the viral entry into human cells.     

Given the previous significant experience on the impact of co-existing pathogens on the spread to a pandemic, the current study scientists hypothesized that co-circulating influenza virus might have influenced the spread of SARS-CoV-2 in Europe during the initial phase of the COVID-19 pandemic.

Study design

The scientists have developed a stochastic, population-based model of SARS-CoV-2 transmission and COVID-19 related deaths. By assuming that death occurred in 1% of all infections, the scientists incorporated a representative distribution of virus generation time and duration between symptom emergence and death in their model. They also incorporated the stringency index, which is a measure of the number of control measures (lockdown, workplace/school shutdown, travel restrictions, etc.) taken by governments during the pandemic and their strictness. They evaluated the impact of the stringency index on the viral spread. The impact of influenza infection on the spread of SARS-CoV-2 was evaluated by incorporating the time-series analysis of influenza incidence into the model. The information about influenza cases of four European countries, including Belgium, Italy, Norway, and Spain, was obtained from the World Health Organization.

Potential drivers of SARS-CoV-2 transmission in Belgium, Italy, Norway, and Spain. A: time plot of the stringency index, a country-level aggregate measure of the number and of the strictness of non-pharmaceutical control measures implemented by governments. The vertical dashed line indicates the start of the nationwide lockdown [16]. B: time plot of influenza incidence, calculated as the product of the incidence of influenza-like illnesses and of the fraction of samples positive to any influenza virus (see also Fig. S1 for a time plot of the latter two variables). The vertical dashed lines delimitate the period of overlap between SARS-CoV-2 and influenza, defined as the period between the assumed start date of SARS-CoV- 2 community transmission and 6 weeks after the epidemic peak of influenza [46]. In each country, the time series displayed were incorporated as covariates, which modulated the transmission rate of SARS-CoV-2 in our model (see Methods). In B, the y-axis values differ for each panel.
Syndromic ILI data (A) and virological influenza data (B) in Belgium, Italy, Norway, and Spain. In A, the red bars represent the numbers of samples positive to any influenza virus and the grey bars those negative.

Important observations

The scientists consistently observed that there was about 2 – 2.5-fold increase in SARS-CoV-2 transmission during the period when both influenza virus and SARS-CoV-2 co-existed. Regarding control measures, they found that strict implementation of control measures was associated with a reduction in viral transmission.

Based on the descriptive statistical analysis of the model-data, scientists believe that their model effectively predicted SARS-CoV-2 related morbidity and mortality during the study period.

Predictions made by the study model

Based on the model-data, the scientists predicted that people who recently have influenza infection are at higher risk of developing SARS-CoV-2 infection. This prediction is justified by the previous study observations showing higher transmissibility or susceptibility in people co-infected with influenza virus and SARS-CoV-2.

Studies investigating the frequency of polymerase chain reaction-based co-diagnosis of influenza and SARS-CoV-2 infections have shown significantly variable results. Based on the prediction made in the current study, such discrepancies in study findings may be because of differences in incubation times of the influenza virus (~ 1 day) and SARS-CoV-2 (~ 5.7 days). By the time SARS-CoV-2 reaches the detection level in the body, the influenza virus may no longer exist because of the shorter incubation time.

Another prediction they made is that people who received influenza vaccination are at a lower risk of developing SARS-CoV-2 infection. This prediction is in line with previous study findings showing that influenza vaccination is associated with lower rates of SARS-CoV-2 infection and COVID-19 related mortality.

Although the impact of influenza infection on SARS-CoV-2 transmission is clearly manifested, the current study was conducted without controlling a major confounding factor, age, which is known to impact both influenza and SARS-CoV-2 infections.

According to the scientists, this can be a potential limitation of the study. The scientists also believe that besides the influenza virus, the impact of other respiratory viruses should also be tested to obtain more comprehensive observation.    

Regarding control measures, the scientists believe that the impact they observed may be specific to Europe, where both the number and intensity of control measures increased gradually during the pandemic.

This news article was a review of a preliminary scientific report that had not undergone peer-review at the time of publication. Since its initial publication, the scientific report has now been peer reviewed and accepted for publication in a Scientific Journal. Links to the preliminary and peer-reviewed reports are available in the Sources section at the bottom of this article. View Sources

Journal references:

Article Revisions

  • Mar 30 2023 - The preprint preliminary research paper that this article was based upon was accepted for publication in a peer-reviewed Scientific Journal. This article was edited accordingly to include a link to the final peer-reviewed paper, now shown in the sources section.
Dr. Sanchari Sinha Dutta

Written by

Dr. Sanchari Sinha Dutta

Dr. Sanchari Sinha Dutta is a science communicator who believes in spreading the power of science in every corner of the world. She has a Bachelor of Science (B.Sc.) degree and a Master's of Science (M.Sc.) in biology and human physiology. Following her Master's degree, Sanchari went on to study a Ph.D. in human physiology. She has authored more than 10 original research articles, all of which have been published in world renowned international journals.

Citations

Please use one of the following formats to cite this article in your essay, paper or report:

  • APA

    Dutta, Sanchari Sinha Dutta. (2023, March 30). Researchers say Influenza may increase risk of COVID-19. News-Medical. Retrieved on January 19, 2026 from https://www.appetitesciencelab.com/news/20200910/Researchers-say-Influenza-may-increase-risk-of-COVID-19.aspx.

  • MLA

    Dutta, Sanchari Sinha Dutta. "Researchers say Influenza may increase risk of COVID-19". News-Medical. 19 January 2026. <https://www.appetitesciencelab.com/news/20200910/Researchers-say-Influenza-may-increase-risk-of-COVID-19.aspx>.

  • Chicago

    Dutta, Sanchari Sinha Dutta. "Researchers say Influenza may increase risk of COVID-19". News-Medical. https://www.appetitesciencelab.com/news/20200910/Researchers-say-Influenza-may-increase-risk-of-COVID-19.aspx. (accessed January 19, 2026).

  • Harvard

    Dutta, Sanchari Sinha Dutta. 2023. Researchers say Influenza may increase risk of COVID-19. News-Medical, viewed 19 January 2026, https://www.appetitesciencelab.com/news/20200910/Researchers-say-Influenza-may-increase-risk-of-COVID-19.aspx.

Comments

The opinions expressed here are the views of the writer and do not necessarily reflect the views and opinions of News Medical.
Post a new comment
Post

Sign in to keep reading

We're committed to providing free access to quality science. By registering and providing insight into your preferences you're joining a community of over 1m science interested individuals and help us to provide you with insightful content whilst keeping our service free.

or

While we only use edited and approved content for Azthena answers, it may on occasions provide incorrect responses. Please confirm any data provided with the related suppliers or authors. We do not provide medical advice, if you search for medical information you must always consult a medical professional before acting on any information provided.

Your questions, but not your email details will be shared with OpenAI and retained for 30 days in accordance with their privacy principles.

Please do not ask questions that use sensitive or confidential information.

Read the full Terms & Conditions.

You might also like...
CRISPR therapy shows promise against influenza in human lung chips