Tracing coronavirus habitats with genomics

The urgency of finding a solution for the ongoing COVID-19 crisis has led to the sequencing of hundreds of severe acute respiratory syndrome coronavirus 2 (SARS-CoV-2) genomes, to help understand how the virus invades human cells, how it replicates and causes disease and factors that help it evade immune defenses.

Now, a new study by researchers at the University of Ottawa and published on the preprint server bioRxiv* in June 2020 reports the differences in genomes of viruses that are exposed to antiviral proteins vs. those that are not. This host-derived pressure on the virus to adapt may help devise newer ways to build an effective vaccine.

Novel Coronavirus SARS-CoV-2 Colorized scanning electron micrograph of a VERO E6 cell (blue-green) exhibiting elongated cell projections and signs of apoptosis, after infection with SARS-COV-2 virus particles (yellow), which were isolated from a patient sample. Image captured at the NIAID Integrated Research Facility (IRF) in Fort Detrick, Maryland. Credit: NIAID
Novel Coronavirus SARS-CoV-2 Colorized scanning electron micrograph of a VERO E6 cell (blue-green) exhibiting elongated cell projections and signs of apoptosis, after infection with SARS-COV-2 virus particles (yellow), which were isolated from a patient sample. Image captured at the NIAID Integrated Research Facility (IRF) in Fort Detrick, Maryland. Credit: NIAID

This news article was a review of a preliminary scientific report that had not undergone peer-review at the time of publication. Since its initial publication, the scientific report has now been peer reviewed and accepted for publication in a Scientific Journal. Links to the preliminary and peer-reviewed reports are available in the Sources section at the bottom of this article. View Sources

Antiviral Defenses and Coronaviruses

Coronaviruses (CoVs) infect mammals, and their genomes are shaped by their environment, which varies with the host tissue. This is because different species have different kinds of cells, with significant differences in the antiviral and RNA modification level of activity.

One important component of the antiviral response is the production of antiviral protein (AVP), among which is the zinc-finger antiviral protein (ZAP), encoded by gene ZC3HAV1 in mammals, and the apolipoprotein B mRNA-editing enzyme-catalytic polypeptide-like 3 (APOBEC3).

ZAP is part of the interferon-mediated immune response, which is directed against CpGs in the viral genome, leading to the inhibition of viral replication and the production of the signal to break down the viral genome. The presence of ZAP activity in the cytoplasm should cause a viral genome to avoid CgPs if the host tissue is abundant in ZAP, as seen with HIV-1, and many CoVs. HIV-1 virus is lymphotropic (lymph nodes being ZAP-enriched) but also CgP deficient. With increasing CgP content, the HIV-1 becomes less fit.

ZAP causes increasing and cumulative degradation of viral RNA, as the number of CgPs increases all through the RNA sequences. Concerning SARS-CoV-1, this would mean that ZAP will target only ORF1 and Spike mRNA, which are of sufficient length. Even with its relatively low CpG content, among betaCoVs, these mRNA sequences have few CpGs.

The APOBEC3 is also important in the antiviral response. They cause hypermutations in the viral cDNA, so that the transcription is defective, resulting in the inhibition of reverse transcription. It can bind to RNA and thus become incorporated into virions. It also edits C to U in RNA.

The HIV-1 prevents these actions through its Vif protein that degrades this enzyme. Nonetheless, this may present the potential for the development of paralogous drugs that can directly edit ssRNA viruses that lack the Vif analog – like SARS-CoV-2.

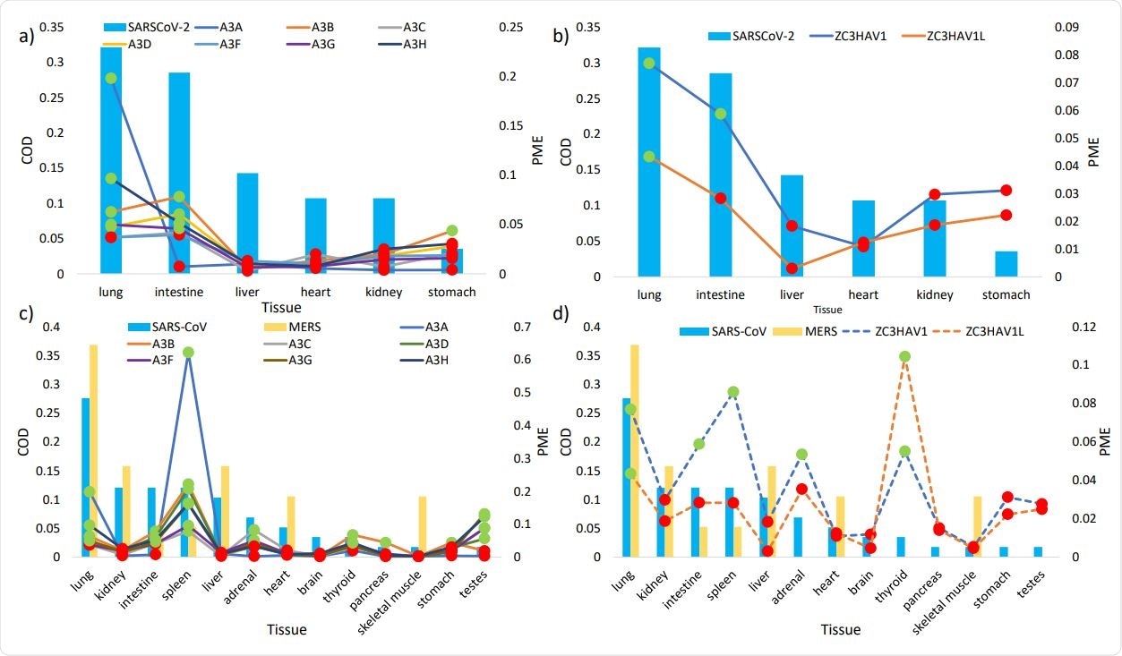
The histograms show the regular tissue habitats (as measured in commonness of detection COD, on primary Y axis) of SARS307 CoV-2 (a, b) and of SARS-CoV and MERS (c, d). The lines represent the relative mRNA expression (in proportions of mRNA expression PME, on secondary Y axis) of a) APOBEC3 isoforms (solid lines) and b) ZAP isoforms (dash lines) in tissues susceptible to SARS-CoV-2 infection, and the PME of c) APOBEC3 isoforms (solid lines) and d) ZAP isoforms (dashed lines) in tissues susceptible to SARS-CoV and MERS infections. Highlighted in green and red are PME values that are greater and lower than the averaged PME values, respectively. PME values were calculated based on averaged mRNA FPKMs retrieved from the GTEx Portal (LONSDALE et al. 2013).
The histograms show the regular tissue habitats (as measured in commonness of detection COD, on primary Y axis) of SARS307 CoV-2 (a, b) and of SARS-CoV and MERS (c, d). The lines represent the relative mRNA expression (in proportions of mRNA expression PME, on secondary Y axis) of a) APOBEC3 isoforms (solid lines) and b) ZAP isoforms (dash lines) in tissues susceptible to SARS-CoV-2 infection, and the PME of c) APOBEC3 isoforms (solid lines) and d) ZAP isoforms (dashed lines) in tissues susceptible to SARS-CoV and MERS infections. Highlighted in green and red are PME values that are greater and lower than the averaged PME values, respectively. PME values were calculated based on averaged mRNA FPKMs retrieved from the GTEx Portal (LONSDALE et al. 2013).

Aims of the Study

The current study aims at testing the hypothesis that both these factors act together as the primary source of selective pressure that drives the CoV to adapt as it infects different host tissues. The researchers analyzed the antiviral proteins that are effective against CoV and the mechanism of suppression of the immune response.

They predicted that the specific host tissue environment could be identified depending on the presence of consistent CgP avoidance or U enrichment. These changes would mark the presence of abundant antiviral proteins (AVP) such as ZAP or APOBEC3 in the host tissue typically infected. On the other hand, their absence predicts the typical infection of host tissue lacking AVP.

The researchers included a large number of publicly available genome sequences for seven CoVs, as well as specific patterns of these AVP in different tissues among five host species – humans, dogs, pigs, mice, and cattle.

Host Tissue AVP Direct Viral Genome Changes

The study shows that these viruses (except for one, the murine MHV) typically infect tissues with high AVP. Concordantly, they all have high deficiencies of CpG throughout their sequences, with SARS-CoV-2 having the lowest CpG content, which is spread across 12 regions of the genome in a non-uniform manner.

The lowest CpG content is in the region that encodes the S protein. This pattern indicates the emergence of the virus in a host tissue with high ZAP levels and that this has helped it to avoid the antiviral defenses triggered by ZAP during its entry into the cell. Thus AVP-rich host tissues produce a shift towards CpG deficiency and higher U content in the viral genomes.

Evidence of C to U switch at the level of RNA, which is brought about by APOBEC3, is found in many CoVs. However, the proportion of U is comparable to that of murine MHV though the latter does not infect AVP-rich tissues, So, does APOBEC3 play a role in shaping the genome of those CoVs that infect human hosts?

To answer this, the researchers looked at the patterns of single nucleotide polymorphisms (SNPs) in the local regions of various genomic sequences for the SARS-CoV-2 from the four months (December 31, 2019, to May 6, 2020).

The researchers found that the cumulative elevation in U and decline in C content is not remarkable in the SARS-CoV-2, SARS-CoV, and MERS, because of the insufficient time to accumulate a large number of mutations in these recently emerged strains.

On the other hand, C to U substitution is far more prevalent than other SNPs, and this is seen mostly in the 5’ UTR and the ORF1ab regions, indicating that these are under selective pressure by the AVP. When 99 complete genomes collected on different days over this period were analyzed, the number of C to U substitutions was seen to be higher than expected, and increasing over time, in these two regions alone.

In other words, APOBEC3 also plays a role in directing the evolution of this virus.

Other types of change, such as the A to G mutation, are seen to occur in the S region, perhaps due to the activity of the mammalian ADAR1 enzyme. However, the CpG content declines slowly over time, as shown by the lack of difference between the samples collected over four months.

What Implications Does This Carry for SARS-CoV-2?

An important implication of this analysis is that the SARS-CoV-2 became CpG deficient in an intermediate reservoir before it jumped to humans since this change does not take place rapidly. The sequencing of the bat CoV RaTG13 back in 2013 would have warned of the high probability of the virus shifting to a host with high ZAP expression, since it had successfully changed to avoid this antiviral defense.

Another conclusion is that the evolutionary pressure targets CpGs in specific regions, focusing on the region that is vital for host cell recognition and entry, namely, the spike protein.

The researchers suggest that the possibility of increasing CpG content, which is known to reduce viral replication and virulence sharply, is one to be explored while developing weakened SARS-CoV-2 strains for vaccine development. The counter side is that this may be subverted by host innate deaminases, which change CpGs into UpGs, further increasing the level of CpG deficiency. Thus, more research into how AVP act to direct the evolution of the virus is required.

This news article was a review of a preliminary scientific report that had not undergone peer-review at the time of publication. Since its initial publication, the scientific report has now been peer reviewed and accepted for publication in a Scientific Journal. Links to the preliminary and peer-reviewed reports are available in the Sources section at the bottom of this article. View Sources

Journal references:

Article Revisions

  • Mar 22 2023 - The preprint preliminary research paper that this article was based upon was accepted for publication in a peer-reviewed Scientific Journal. This article was edited accordingly to include a link to the final peer-reviewed paper, now shown in the sources section.
Dr. Liji Thomas

Written by

Dr. Liji Thomas

Dr. Liji Thomas is an OB-GYN, who graduated from the Government Medical College, University of Calicut, Kerala, in 2001. Liji practiced as a full-time consultant in obstetrics/gynecology in a private hospital for a few years following her graduation. She has counseled hundreds of patients facing issues from pregnancy-related problems and infertility, and has been in charge of over 2,000 deliveries, striving always to achieve a normal delivery rather than operative.

Citations

Please use one of the following formats to cite this article in your essay, paper or report:

  • APA

    Thomas, Liji. (2023, March 22). Tracing coronavirus habitats with genomics. News-Medical. Retrieved on January 17, 2026 from https://www.appetitesciencelab.com/news/20200615/Tracing-coronavirus-habitats-with-genomics.aspx.

  • MLA

    Thomas, Liji. "Tracing coronavirus habitats with genomics". News-Medical. 17 January 2026. <https://www.appetitesciencelab.com/news/20200615/Tracing-coronavirus-habitats-with-genomics.aspx>.

  • Chicago

    Thomas, Liji. "Tracing coronavirus habitats with genomics". News-Medical. https://www.appetitesciencelab.com/news/20200615/Tracing-coronavirus-habitats-with-genomics.aspx. (accessed January 17, 2026).

  • Harvard

    Thomas, Liji. 2023. Tracing coronavirus habitats with genomics. News-Medical, viewed 17 January 2026, https://www.appetitesciencelab.com/news/20200615/Tracing-coronavirus-habitats-with-genomics.aspx.

Comments

The opinions expressed here are the views of the writer and do not necessarily reflect the views and opinions of News Medical.
Post a new comment
Post

Sign in to keep reading

We're committed to providing free access to quality science. By registering and providing insight into your preferences you're joining a community of over 1m science interested individuals and help us to provide you with insightful content whilst keeping our service free.

or

While we only use edited and approved content for Azthena answers, it may on occasions provide incorrect responses. Please confirm any data provided with the related suppliers or authors. We do not provide medical advice, if you search for medical information you must always consult a medical professional before acting on any information provided.

Your questions, but not your email details will be shared with OpenAI and retained for 30 days in accordance with their privacy principles.

Please do not ask questions that use sensitive or confidential information.

Read the full Terms & Conditions.

You might also like...
Long COVID symptoms change for 15 months after infection