Accelerating protein degrader discovery with the direct-to-biology workflow

This article and associated images are based on a poster originally authored by Chris Wellaway, Sebastien Campos, Peng Chen, Pengxia Ding, Qifeng Fu, Chunyan Han, Zhengqiao Huang, Tong Jiang, Christian Kuper, Lei Liu, Manlin Liu, Ruixue Liu, Dan Moseley, Steven Sollis, Alison Stewart, Zixuan Tong, Yongcheng Wang, Joanne Wayne, Qiming Xiang, Yaoshun Yang, Wenjie Ye, Rong Zhang, Jie Zhao, Xin Zhao, and Ziwei Zhao, and presented at ELRIG Drug Discovery 2025 in affiliation with Pharmaron UK Ltd and Pharmaron.

This poster is being hosted on this website in its raw form, without modifications. It has not undergone peer review but has been reviewed to meet AZoNetwork's editorial quality standards. The information contained is for informational purposes only and should not be considered validated by independent peer assessment.

Introduction

Purification and isolation of compounds pose a bottleneck for many drug discovery endeavors. Direct-to-Biology (D2B) is a contemporary approach that tests unpurified reaction mixtures directly in biological assays. This reduces timelines from months to weeks, saving on resources and costs spent in each phase of the discovery process.

Bifunctional Targeted Protein Degradation (TPD) is a burgeoning platform that offers an alternative approach for drug discovery. However, compounds in this space can be challenging to purify and handle, making a D2B approach particularly beneficial.

Here, the research team presents Pharmaron’s D2B platform for identifying bifunctional targeted protein degraders, with examples of BRD4 and AR-FL, in the context of the Design-Make-Test-Analyze (DMTA) cycle.

Accelerated DMTA approach

The accelerated DMTA approach features an automated microplate-based synthesis with no purifications in either a 96- or 384-well format. Compound analysis is carried out via automated LC-MS analysis and heatmap generation, before the direct testing of unpurified compounds in cell-based assays, such as HiBiT degradation. These analyses create Hit analysis and validation.

Image Credit: Chris Wellaway et al., in partnership with ELRIG (UK) Ltd.

1. Design

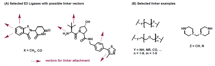
Pharmaron has developed a toolbox to accelerate hit finding for bifunctional targeted protein degraders, designed for broad applicability and favorable physicochemical properties.

Key features:

  • Commonly used binders for E3 ligases are represented (CRBN, VHL)
  • All E3 ligase binders have linkers extended from different vectors
  • A mix of flexible and rigid linkers with varying linker lengths is included
  • Opportunity for additional bespoke linkers based on available materials

Selected E3 Ligases with possible linker vectors, and selected linker examples.

Image Credit: Chris Wellaway et al., in partnership with ELRIG (UK) Ltd.

2. Synthesis

  • Pharmaron‘s D2B chemistry workflow was successfully validated in both 96-well and 384-well formats
  • Different chemistries were validated on microscale (~50 μL reaction mixture volume, <one mg of reactants per well)
  • High conversions were determined by LC-MS:

Amide coupling demonstrates over 75 % of wells with over 50 % conversion. SNAR coupling demonstrates over 50 % of wells wih over 50 % conversion.

Image Credit: Chris Wellaway et al., in partnership with ELRIG (UK) Ltd.

3. Biological and physchem testing

  • Pharmaron’s suite of TPD assays is suitable for rapid and high-quality testing of unpurified compounds as part of the D2B approach
  • Single-point % degradation and DC50 values can be generated in a multiplex assay that simultaneously measures degradation and cytotoxicity, reducing timelines and saving resources and costs.
  • Hits were identified and SAR revealed for BRD4 and AR-FL:

BRD4 HiBiT analyzed 209 compounds, screened at three concentrations. AR-FL HiBiT analyzed 45 compounds at three concentrations. No significant toxicity was observed by Celltiter-Glo (data not shown).

Image Credit: Chris Wellaway et al., in partnership with ELRIG (UK) Ltd.

  • Key TPD physicochemical assays were suitable for testing of unpurified compounds:

ePSA. Source: ELRIG (UK) Ltd.

Compound ID Unpurified Purified
JQ1-D8 94 94
JQ1-D11 95 95
JQ1-D17 96 96
JQ1-19 98 98
JQ1-F1 94 94
JQ1-F2 96 96
JQ1-F3 97 97
CISMZ1 92 92
DBET1 96 96
MZ1 93 93
MEDBET1 91 91

Accelerating protein degrader discovery with the direct-to-biology workflow

Image Credit: Chris Wellaway et al., in partnership with ELRIG (UK) Ltd.

4. Analysis and follow-up

  • Hits can be followed up by micropurification of the D2B reaction mixtures and by formal resynthesis of hit compounds (purified).
  • Concentration-response curves of unpurified, micropurified, and purified compounds are in excellent agreement.

Concentration-response curves of BRD4 HiBiT and AR-FL HiBiT.

Image Credit: Chris Wellaway et al., in partnership with ELRIG (UK) Ltd.

5. D2B workflow accelerates timelines from months to weeks

D2B workflow process from preparation to hot expansion D2B.

Image Credit: Chris Wellaway et al., in partnership with ELRIG (UK) Ltd.

Conclusion

  • The team has successfully established a Direct-to-Biology (D2B) platform tailored for bifunctional targeted protein degraders.
  • A large and diverse toolbox of E3 ligase binders and linkers supports the platform.
  • Automation and computational workflows enable efficient screening and data generation.
  • Data from unpurified, micropurified, and purified compounds are in high agreement, confirming reliability and robustness.
  • The D2B approach accelerates DMTA cycles and shortens discovery timelines for clients.

About Pharmaron

Pharmaron (Stock Code: 300759.SZ/3759.HK) is a premier R&D service provider for the life sciences industry. Founded in 2004, Pharmaron has invested in its people and facilities, and established a broad spectrum of research, development and manufacturing service capabilities throughout the entire drug discovery, preclinical and clinical development process across multiple therapeutic modalities, including small molecules, biologics and CGT products. 

About ELRIG (UK) Ltd.

The European Laboratory Research & Innovation Group (ELRIG) is a leading European not-for-profit organization that exists to provide outstanding scientific content to the life science community. The foundation of the organization is based on the use and application of automation, robotics and instrumentation in life science laboratories, but over time, we have evolved to respond to the needs of biopharma by developing scientific programmes that focus on cutting-edge research areas that have the potential to revolutionize drug discovery.

Comprised of a global community of over 12,000 life science professionals, participating in our events, whether it be at one of our scientific conferences or one of our networking meetings, will enable any of our community to exchange information, within disciplines and across academic and biopharmaceutical organizations, on an open access basis, as all our events are free-of-charge to attend!

Our values

Our values are to always ensure the highest quality of content and that content will be made readily accessible to all, and that we will always be an inclusive organization, serving a diverse scientific network. In addition, ELRIG will always be a volunteer led organization, run by and for the life sciences community, on a not-for-profit basis.

Our purpose

ELRIG is a company whose purpose is to bring the life science and drug discovery communities together to learn, share, connect, innovate and collaborate, on an open access basis. We achieve this through the provision of world class conferences, networking events, webinars and digital content.


Sponsored Content Policy: News-Medical.net publishes articles and related content that may be derived from sources where we have existing commercial relationships, provided such content adds value to the core editorial ethos of News-Medical.Net which is to educate and inform site visitors interested in medical research, science, medical devices and treatments.

Last Updated: Nov 13, 2025

Citations

Please use one of the following formats to cite this article in your essay, paper or report:

  • APA

    Pharmaron. (2025, November 13). Accelerating protein degrader discovery with the direct-to-biology workflow. News-Medical. Retrieved on January 16, 2026 from https://www.appetitesciencelab.com/health/Accelerating-protein-degrader-discovery-with-the-direct-to-biology-workflow.aspx.

  • MLA

    Pharmaron. "Accelerating protein degrader discovery with the direct-to-biology workflow". News-Medical. 16 January 2026. <https://www.appetitesciencelab.com/health/Accelerating-protein-degrader-discovery-with-the-direct-to-biology-workflow.aspx>.

  • Chicago

    Pharmaron. "Accelerating protein degrader discovery with the direct-to-biology workflow". News-Medical. https://www.appetitesciencelab.com/health/Accelerating-protein-degrader-discovery-with-the-direct-to-biology-workflow.aspx. (accessed January 16, 2026).

  • Harvard

    Pharmaron. 2025. Accelerating protein degrader discovery with the direct-to-biology workflow. News-Medical, viewed 16 January 2026, https://www.appetitesciencelab.com/health/Accelerating-protein-degrader-discovery-with-the-direct-to-biology-workflow.aspx.

Comments

The opinions expressed here are the views of the writer and do not necessarily reflect the views and opinions of News Medical.
Post a new comment
Post

While we only use edited and approved content for Azthena answers, it may on occasions provide incorrect responses. Please confirm any data provided with the related suppliers or authors. We do not provide medical advice, if you search for medical information you must always consult a medical professional before acting on any information provided.

Your questions, but not your email details will be shared with OpenAI and retained for 30 days in accordance with their privacy principles.

Please do not ask questions that use sensitive or confidential information.

Read the full Terms & Conditions.