Solving stability problems with many one-trick, sample-hungry tools takes a lot of work. On the other hand, Uncle integrates three distinct measurement modes—fluorescence, Static Light Scattering (SLS), and Dynamic Light Scattering (DLS). This allows users to swiftly generate comprehensive data within a few hours, conserving valuable samples.
Unchained Tackles Science in 5 - Protein Thermal Stability with Uncle
The wealth of information obtained simplifies the selection of the optimal formulation, protein, or viral vector, making it a straightforward task.
- Tm and Tagg
- Viral capsid stability
- Isothermal stability
- Tm with SYPRO (DSF)
- Sizing and polydispersity
- Sizing with thermal ramp
- Viscosity
- Thermal recovery
- B22
- kD
- G22
- ΔG
Capabilities
Uncover way more in one shot
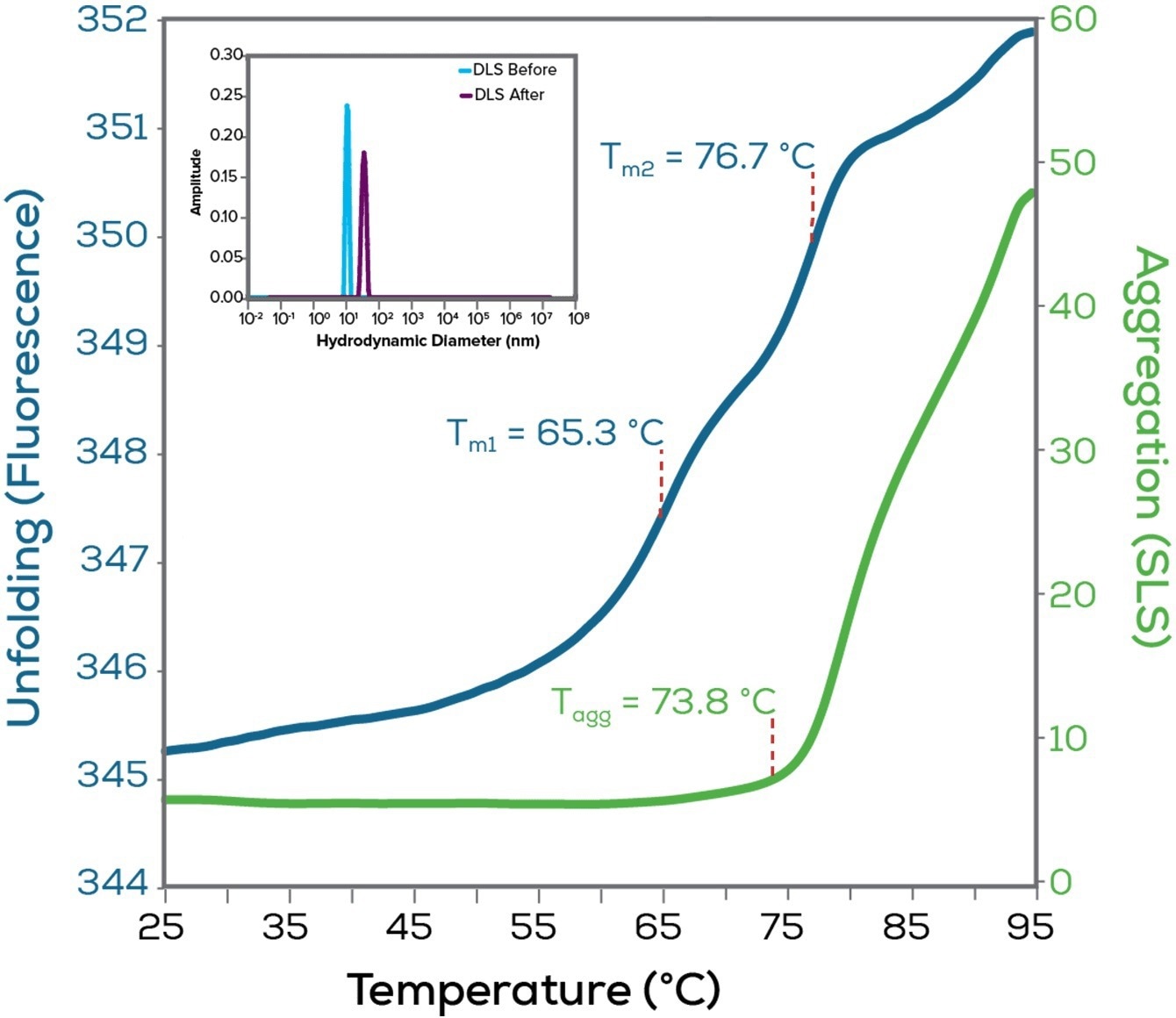
Users can use Uncle to obtain insights through protein stability assessments, accommodating up to 48 samples in less than two hours when exploring novel formulations or constructs. Simultaneously, it is possible to determine Tm and Tagg, gaining a clear understanding of when unfolding triggers aggregation. Users can also incorporate a DLS read before the temperature ramp to identify potential aggregation issues immediately.

Image Credit: Unchained Labs
Let them simmer
Anticipate and address long-term storage challenges by initiating isothermal protein stability measurements well in advance, well before they manifest as potential issues in the future. Uncle offers a range of specialized applications designed to examine the behavior of proteins, reporter dyes, or vector payloads when exposed to constant temperatures.
With Uncle's convenient out-of-the-box isothermal applications, users can effortlessly load their samples into Unis, incubate them, and later return them to Uncle for analysis to identify any anomalies, leaving Uncle available for other tasks.

Image Credit: Unchained Labs
AAV capsid stability
Before the AAV capsid pops, Uncle teams up with SYBR Gold to predict when the DNA leaks and calculate the initial amount of free DNA and the remaining amount after a thermal ramp. Users can recognize when aggregation is out of control and use SLS and DLS to combat particle titer.

Image Credit: Unchained Labs
Spot genome jailbreaks
Users can verify that the vectors are not allowing DNA or RNA to elude them over time. They can also get a head start on accelerated isothermal storage testing using Uncle's full spectrum fluorescence and SYBR Gold isothermal app.

Image Credit: Unchained Labs
B22 and kD
Simultaneously users can obtain B22 and kD measurements within a single Uni. Alternatively, if users deal with exceptionally high concentrations, they can seamlessly transition to G22. With user-friendly software, Uncle quickly determines the suitability of the protein-formulation combination, whether it is stable or poses a risk of aggregation. G22 is readily available and prepared for use in situations involving extremely high protein concentrations.

Image Credit: Unchained Labs
Unleash the Uni
Acquire extensive data while conserving precious sample resources. The Uni operates effectively with just 9 μL, allowing users to determine its usage. Users can run a single sample in the morning or scale up to 48 in the afternoon. Opt for a DLS read if it suffices for the needs, or perform a comprehensive check with DLS before embarking on a three-day experiment for real-time stability monitoring. Thanks to airtight sealing, the runs can be tailored, whether they need to be brief or extended.

Image Credit: Unchained Labs
Full-spectrum
Gene vectors and biologics are unique. Because Uncle provides the entire fluorescence spectrum, users do not have to know how their sample will behave ahead of time. Uncle can pick up on new dye techniques. Uncle’s SLS detects aggregation with two wavelengths, making it extremely sensitive and effective for detecting varying-sized aggregates.

Image Credit: Unchained Labs
21CFRp11
In regulated environments, strict control of data access and preservation of data integrity are essential. Uncle provides compliant software tools under 21CFRp11, which can be effortlessly enabled.

Image Credit: Unchained Labs